1、引言
21世纪是海洋的世纪,开发利用海洋空间和海洋资源成为世界海洋强国竞争重要领域。所有海洋资源的开发都离不开海洋工程设备的支持,海洋科学依赖于大潜深潜水器的成功研制[2-3]。钛合金具有比强度高、耐腐蚀性能好、热稳定性好、延展性和韧性好、加工性好等优点[4-5]。钛合金耐压壳体作为潜水器载体结构的关键部件,能承受千米级深水压力,要求壳体高质量焊接[6]。窄间隙焊接技术具有热输入小、焊后变形小和焊接过程稳定等优点,满足高质量合金耐压壳体精密焊接需求[7-9]。
多层多道焊接过程普遍存在多次热循环(thermal cycling,TC)影响接头微观结构和力学性能。孙清洁等人[10]采用磁控窄间隙钨极惰性气体保护焊(TIG)焊接56mm厚Ti-6Al-4V试板,发现接头各区的组织、结晶形态及生长方向存在很大差异。张宇轩等人[11]发现钛合金焊接接头处晶粒尺寸从母材区向焊缝区逐渐增大,组织及力学性能存在明显的不均匀性。Yang等人[12]采用双面窄间隙TIG单道多层焊接技术焊接TC4钛合金发现,冷却速度差异导致焊缝和热影响区内马氏体形态变化。焊接接头打底层具有与母材相当的抗拉强度和延展性;填充层焊缝及层间结合区出现织构强化、晶界强化,表现出高强度低塑性的特点。Long等人[13]采用电子束双面多层焊接的方法焊接140mmTC4钛合金,发现焊缝区微观组织和力学性能在厚度方向存在明显的不均匀性,两焊缝根部重叠区域是接头在高循环疲劳性能测试中最弱部分。研究发现散热条件的差异是导致焊接接头沿厚度方向微观组织和力学性能不均匀的关键因素。增材过程中也存在类似的现象及结论。Zhou等人[14]发现增材过程中沉积金属在后续的热循环过程中会受到高温停留时间和冷却速度的影响,更多的合金元素溶解到β相中,进而影响最终的微观结构。王壮等人[15]发现在增材制造过程中先沉积的金属会受到后沉积金属的热处理作用,热循环曲线发生改变,高温停留时间与冷却速度发生改变,进而影响最终的微观结构。Guo等人[16]发现低于β转变温度的热循环次数较多的区域更有可能充满具有交织分布的a相,这是由于元素分布不均匀造成的。该区域表现出较大的拉伸强度和显微硬度,最终沉积试样力学性能存在明显的各向异性。
本工作针对摆动送丝磁控电弧窄间隙焊接技术成的60mm厚TC4钛合金焊接接头展开分析。对接头不同热循环次数的位置取样,进行微观组织分析及显微硬度和拉伸性能测试,结合数值模拟获得的热循环曲线,分析了热循环作用对窄间隙焊接接头显微组织和力学性能的影响,建立了不同热循环温度和循环次数与材料微观组织和力学性能的对应关系。
2、实验
采用摆动送丝磁控电弧窄间隙焊接系统进行焊接试验,其设备组成如图1所示。该设备包含TIG焊枪系统、磁控电弧系统、摆动送丝系统、气体保护系统和机械手臂。TIG焊枪系统包含TIG焊枪、送丝机、数字调节直流TIG弧焊电源(松下YC-500TX4);磁控电弧系统和摆动送丝系统为自主研发设备,其核心机制在于利用磁控电源向定制的两组电磁线圈输入可调节的方波交流电,利用电磁线圈的电磁感应原理产生的交变磁场,实现了对电弧摆动和焊丝摆动的精确控制;气体保护系统包含尾部保护拖罩和背面保护装置,通过电磁气阀控制通入纯度99.99%的氩气;整套磁控窄间隙焊接设备由发那科(FANUC)机械手臂夹持,所有系统通过PLC控制,可实现自动焊接过程持续稳定可靠工作。
选用深海耐压结构常用的TC4钛合金为母材。为满足超大尺寸、低残余应力、高质量合金耐压壳体精密焊接需求,其接头形式采用双U窄间隙坡口对接的形式。试板整体尺寸为600mm270mm60mm,坡口采用双面U型坡口,底部圆弧半径为5mm,坡口角度为5°,钝边厚度2mm。焊丝采用直径1.2mm的ERTC4钛合金焊丝。表1和表2为TC4钛合金母材和ERTC4钛合金焊丝的化学成分和力学性能。焊前采用砂纸和丙酮处理试板表面,去除氧化层和油污。基于前期的工艺研究基础[9],采用的焊接工艺参数为:焊接电流220A,焊接速度9cm/min,送丝速度2.2m/min,磁场强度6mT,交变磁场频率5Hz,焊丝摆动幅度6mm,摆动频率100Hz。
焊接后,采用线切割对样品进行切割,从焊接接头中提取包含整个焊接接头的尺寸为60mm20mm5mm的样品,依次使用梯度粒径砂纸打磨后,使用50μm二氧化硅抛光液抛光至镜面。宏观组织结构表征使用Keller试剂(10mLHF+25mLHNO3+65mLH2O)对待观察的试样蚀刻100s,采用光学显微镜(OM,DSX510)观察。微观组织结构表征使用Keller试剂(3mLHF+12mLHNO3+85mLH2O)对待观察的试样蚀刻10s,采用扫描电子显微镜(SEM,MERLINCompact)和电子背散射(EBSD)观察微观组织和拉伸断口形貌。
采用HV-1000DT型维氏显微硬度计进行焊缝、热影响区和母材的显微硬度测试。测试点之间相距0.5mm,加载荷载为3N,施加载荷的时间为15s。使用线切割机切取拉伸试样,试样的位置和尺寸如图2a、2b所示,图2a是俯视图,图2b是截面图。使用材料试验机(UTM5105X)对拉伸试样进行常温拉伸性能测试,设定拉伸速度为2mm/min。选取相同层3个拉伸试样进行拉伸实验,取平均值作为接头焊缝的拉伸强度和延伸率。

表1TC4钛合金母材和焊丝的化学成分
Table 1 Chemical composition of TC4 titanium alloy and ERTC4 welding wire(wt%)
| Material | Al | C | N | H | V | Fe | Ti |
| TC4 | 6.12 | 0.08 | 0.02 | 0.01 | 4.11 | ≤0.25 | Bal. |
| ERTC4 | 5.5-6.5 | ≤0.08 | ≤0.05 | ≤0.015 | 3.5-4.5 | ≤0.30 | Bal. |
表2 TC4钛合金母材力学性能
Table 2 Mechanical properties of TC4 titanium alloy
| Material | Tensile strength/MPa | Yield strength/MPa | Elongation/% |
| TC4 | 950 | 875 | 11 |

3、结果与分析
3.1焊接接头宏观形貌
采用摆动送丝磁控电弧窄间隙焊接技术完成了60mm厚TC4钛合金板的焊接,所获得的焊接接头截面形貌(横置)如图3所示。焊接接头侧壁熔合良好,焊道层间轮廓清晰明显,未出现气孔、裂纹、夹渣及未熔合等焊接缺陷。由于采用双U钝边坡口,两侧的焊缝组织演变规律相似,因此只对单侧焊缝进行研究。

可以看到随着层数增加,到达上表面时,变成粗大的β柱状晶。部分柱状β晶粒甚至由底部和侧壁指向上表面贯穿了数道焊缝。随着焊接层数增加,由于钛合金导热性差,熔池高温停留时间较长,β相会快速长大。受竞争生长机制影响,β相会沿温度梯度反方向择优生长,窄间隙坡口形式使熔池增加了散热面积,因此β相从熔池底部和两侧向熔池上表面生长,直至彼此相遇后停止。受外延机制的影响,柱状β晶粒跨越了层间位置,此外,相邻两层焊接会出现重熔部分,受外延机制的影响β晶粒具有明显的择优取向,因此熔池凝固过程中会沿上一道择优生长的β晶粒继续生长,最终形成跨越了相邻层的粗大的柱状晶。
3.2热循环对焊接接头微观形貌的影响
图4为ABAQUS输出的理论热循环曲线。“Remelt”循环曲线代表了当前道次填充层在下一道填充时出现重熔,这属于固液相变并不属于热循环的范畴,因此将重熔部分视为经历后续热循环的起点。TC4钛合金具有稳定的微观结构,可以在500℃以下稳定使用,因此只分析超过500℃的焊接过程。从图中可以看出,填充层共经历了3次热循环(1441、1042和718℃),微观组织将发生明显改变。为了便于分析,选取能区分热循环次数的最后几道焊缝,并在图3中标记了典型取样位置。

图5和图6为经历不同次数热循环的焊缝的微观组织形貌。如图4所示,第1次热循环峰值温度(1441℃)远高于β相转变温度(950℃),因此发生了a→β的完全转变。由于存在重熔区,这意味着原始β晶粒发生合并,这将导致β晶界附近β取向将沿着合并后的晶粒择优取向转变。这一过程导致冷却过程中沿αGB产生的α群落与之前的不同,这可以通过α群落数量增多且方向较为统一看出。同样,由于α相的完全转变,如图5b、5b所示,微观组织仍保持网篮组织形貌,但取向发生了明显的改变,如图6b所示。第1次热循环将吞并择优取向较弱的a群落,使其取向多样性减弱。此外,由于冷却速率较慢,组织在高温停留时间较长,导致板条α平均宽度(W由0.91±0.09μm增加到1.25±0.22μm。第2次热循环峰值温度(1042℃)高于β相转变温度,仍然发生a→β的完全转变。这意味着整个区域的a取向几乎没有发生改变,因为完全转变将进一步强化择优取向的α群落生长。如图5c、5c所示,转变形成的a群落变得更加粗大,板条α平均宽度由1.25±0.22μm增加到1.38±0.29μm。第3次热循环由于温度(718℃)低于β相转变温度,只有部分α相转变为β相,如图5d、5d所示,白色框图中a群落的形貌发生改变,因此发生了α→β→α转变。此外α→β转变导致a间距减小,在衬度上不再表现出明显区别,板条α平均宽度由1.38±0.29μm降低至1.02±0.18μm。如图6d所示,择优取向消失,取向多样性有所增强。总的来说,经过3个热循环后,α相逐渐被来自其他区域的板条所占据,这是由于相邻的先前β晶粒的生长造成的,也是由于相同β晶粒内其他α相的竞争生长造成的。经过2次高温热循环后,α相的平均尺寸明显变宽并沿择优取向生长,新形成的板条保持一致的方向,并且与之前存在的一个方向相似。温度较低热循环时,部分保留在α及其附近的α群落没有发生α→β转变,但部分位于取向转变边界的α群落发生了α→β转变,在冷却过程中将有更多样的生长发育取向。


基于上述微观组织形貌表征以及热循环温度曲线,结合不同相形成的临界冷却速率,可以深入理解整个热循环过程中相位演化的动态过程。第1次和第2次热循环与α相的完全转变有关,而第3次热循环则关联于部分α→β转变,这主要是因为过程中的峰值温度低于β转变温度。在未经历热循环的样品中,晶界 αGB 直接沿 β晶界形核,而板条α沿晶界α向内生长形成α群落。随着冷却过程的推移,冷却速率不断下降,α群落向β晶粒内部生长,形成网篮状的组织。然而第1次和第2次热循环峰值温度较高,大部分乃至全部α群落发生了α→β转变。由于在晶界 αGB 处存在能量积累,并且晶粒沿择优取向较多,因此晶界αGB周围的α相不稳定,更容易转化,这一点可以通过图7的EBSD中α和β的面积分数统计结果得到证实。值得注意的是,在冷却速率最快的前2次热循环中,首先形成了晶界α。与未经热循环的原始组织存在明显差异。随着冷却的继续进行,长而平行的α相群落在 αGB层的根部开始形成,其片层厚度也相对增大。与前2次热循环相比,第3次热循环的瞬时冷却速率和平均冷却速率以及峰值温度均显著降低。相应地,α群落的初始形成温度随着冷却速率的降低,将高于β转变温度,这意味着α群落的稳定性得到了改善。因此,大多数a群落可以沿新的方向生长。同时,多重热循环和缓慢的冷却速率也促进了元素扩散,导致更多的β相被保留,残余β相比例由0.02%增加至1.89%。
图8为不同热循环次数的微观组织极图,通过研究{0001}晶格平面族,可以评估热循环对α相各向异性的影响。如图8b所示,经历第1次高温热循环,完全的α→β转变导致α相具有强烈的择优取向,这可归因于较高的冷却速率显著提高了α相择优取向。如图8c所示,经历第2次较高温热循环后,α相仍将表现出较高的择优取向行为,遵循之前α相方向,择优取向方向几乎没有发生改变。如图8d所示,在第3次低温热循环过程中,部分α相发生了α→β→α转变,此时较低的冷却速率及温度梯度显著减弱了α相的择优取向,因此织构强度降低。


3.3热循环对焊接接头力学性能的影响
3.3.1显微硬度
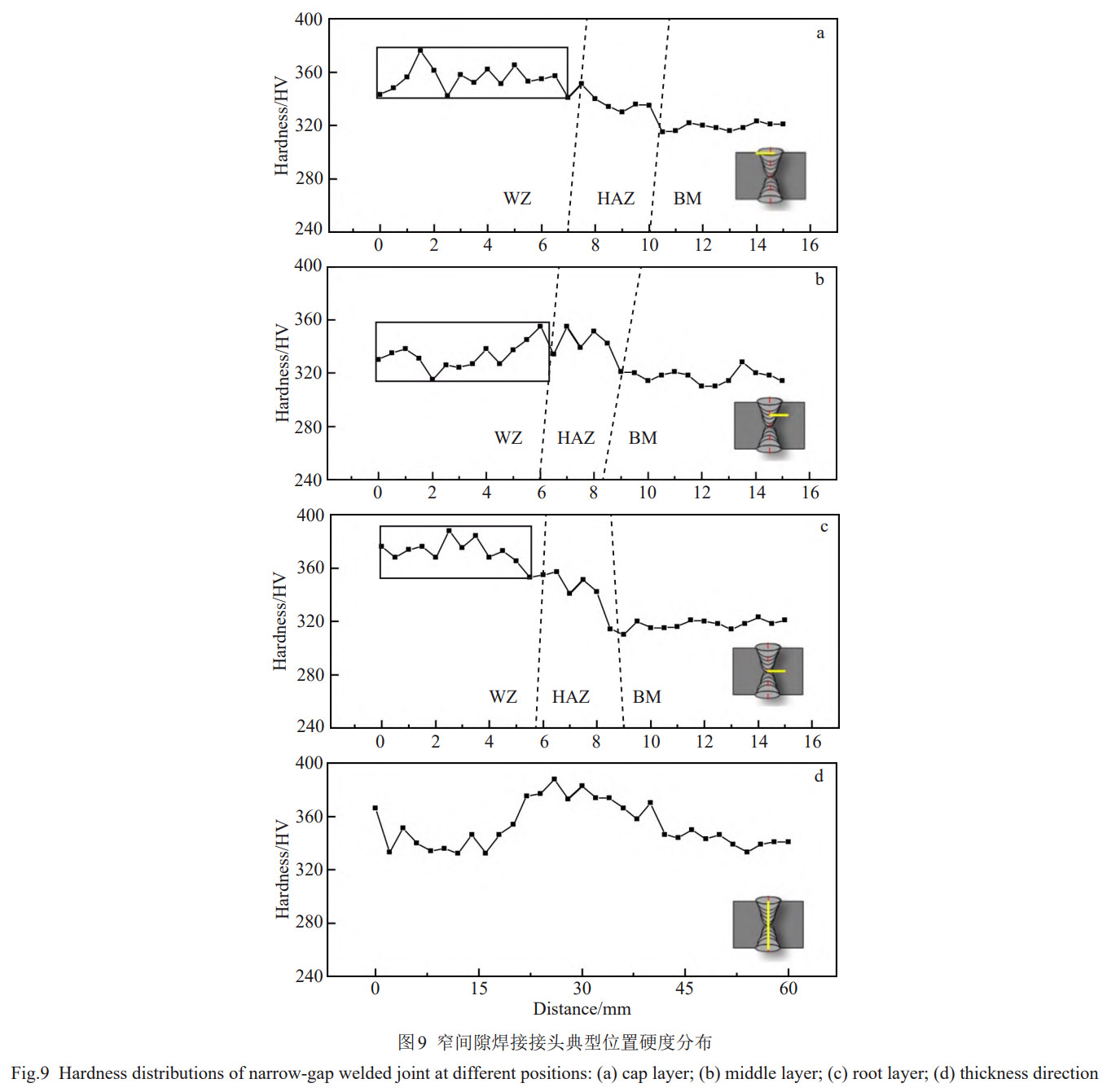
图9为接头硬度测量结果,其中WZ为焊接接头区域,HAZ为热影响区,BM为母材。试验所用母材为TC4,硬度平均值约为320HV。在焊缝区和热影响区,由于受热和冷却速度不均匀,造成不同区域焊缝组织存在较大差异,导致焊缝硬度波动显著。热影响区的硬度高于母材,这主要是由于该区域在热循环后形成了细晶区,晶界αGB数量较多,同时保留了部分等轴原始α晶粒,这些因素共同贡献了较高的硬度。焊缝表层硬度情况如图9a所示。由于焊缝表层冷却速度较快,β相通过非扩散相变形成了马氏体,相变强化是硬度提高的主要原因。此外,焊接过程中通过对母材施加约束固定防止较大的焊接变形,经过多次热循环后,应力集中导致α相发生畸变,产生加工硬化从而导致该区域硬度显著增加。焊缝填充层硬度情况如图9b所示,填充层由于受到后续焊缝的热处理效应,经历了α→β转变,但由于冷却速率和温度梯度较低,冷却后主要形成了α相,其硬度相对较低。同时,热循环还导致了α相的粗化,进一步降低了接头的硬度。焊缝打底层硬度情况如图9c所示,打底层及相邻的填充层由于焊接电流较小,热输入较小,形成了细小等轴晶,经历更多次的热循环,其晶粒和组织结构更加均匀,细晶强化作用效果高于马氏体相变强化,因此硬度较高。焊缝显微硬度的分布整体表现为打底层>盖面层>填充层。

3.3.2拉伸性能
图10为厚板接头取不同层试样的拉伸力学性能测试结果,断裂均发生在焊缝区。盖面层的抗拉强度最低,抗拉强度从上到下呈递增趋势,最高抗拉强度可达921MPa;从盖面层到打底层的抗拉强度分别可达到母材的95.7%、96.2%和96.9%。与抗拉强度相比,延伸率呈现相反的变化趋势,即盖面层延伸率最高,约为7.8%,而打底层延伸率最低,约为6.7%,从上往下分别可达到母材的70.9%、64.5%和60.9%。拉伸试样断口宏观与微观形貌如图11a~11f所示,所有断口上存在密集排列大小深浅不一的韧窝,因此认为接头存在一定的延展性,同时推断拉伸试样断裂方式属于韧性断裂。不同位置拉伸试样断口微观形貌没有明显差异。


4、结论
1)在高温热循环(第1次1441℃、第2次1042℃)过程中发生α→β的完全转变,在择优取向和竞争生长的综合作用下导致α群落数量增多且方向较为统一。
2)在中低温热循环(718℃)过程中发生部分转变,降低了高温热循环(α→β完全转变)产生的高织构强度,丰富了α群落的生长方向。
3)板条α相的宽度在整个热循环表现为先增加后降低的趋势,但与无热循环相比厚度变大;β相比例则在整个热循环后表现为增加。
4)60mm厚焊接接头焊缝显微硬度的分布表现为打底层>盖面层>填充层,主要原因是细晶强化作用;拉伸强度表现为打底层>填充层>盖面层,延伸率相反。
参考文献References
[1] Feng Liang(冯梁). Forum of World Economy& Politics(世界经济与政治论坛)[J],2009(1):71
[2] Xu Jing,Lu Hao,Cai Linxuan et al. Materials[J],2023,16(20):6822
[3] Ren Yugang, Yang Lei, Liu Yanjun et al. Journal of Marine Science and Engineering[J], 2021, 9(6): 682
[4] Li Yanping, Huang Wei, He Yan et al. Rare Metal Materials and Engineering[J],2025,54(1):62
[5] Sun Fengyu, Yang Zhao, Hu Jie et al. Rare Metal Materials and Engineering[J],2025,54(1):76
[6]Wang Hua(王华),Zhao Tan(赵坦), Chen Yan(陈妍).Development and Application of Materials(材料开发与应用)[J],2023,38(3):88
[7] Feng Xudong, Xu Youwei, Shi Yu et al. Materials Letters[J],2024,374:137150
[8] Liu Junfeng, Yang Tao, Zhuang Yuan et al. Journal of Manufacturing Processes[J], 2023, 104: 87
[9] Sun Qi, Liu Yibo, Zhang Qinghua et al. Journal of Materials Processing Technology[J],2024,327:118376
[10] Sun Qingjie(孙清洁),Guo Ning(郭宁),Hu Haifeng(胡海峰)et al. The Chinese Journal of Nonferrous Metals(中国有色金属学报)[J],2013,23(10):2833
[11]Zhang Yuxuan(张宇轩), Song Yuchen(宋雨宸), Wang Lin(王琳)et al.Titanium Industry Progress(钛工业进展)[J],2024,41(4):30
[12] Yang Tao, Xiao Youheng, Zhuang Yuan et al. International Journal of Fatigue[J],2022,163:107030
[13] Long Jian, Jia Jinlong, Zhang Linjie et al. International Journal of Fatigue[J],2022,165:107214
[14] Zhou Yefei, Qin Guangkuo, Li Lei et al. Materials Science and Engineering A[J],2020,772:138654
[15] Wang Zhuang(王壮),Quan Yinzhu(权银洙),Shi Yilei(石毅磊)et al. Rare Metal Materials and Engineering(稀有金属材料与工程)[J],2024,53(10):2941
[16] Guo Xian, Oh Jeong Mok, Lee Junghoon et al. Welding in the World[J],2022,66(5):847
(注,原文标题:热循环对TC4钛合金窄间隙焊接接头组织和性能的影响_孙琪)
相关链接