引言
随着现代工业对轻量化、高性能材料需求的持续增长,钛合金因其优异的比强度、耐腐蚀性及高温稳定性,已成为航空航天、能源装备、生物医疗等领域的核心材料之一。其中,TC4(Ti-6Al-4V)合金作为典型的α+β双相合金,因其在500℃以下的高比强度、良好的热稳定性和生物相容性,被广泛应用于航空发动机压气机叶片、火箭发动机壳体、人工关节植入体等关键部件[1-3]。然而,传统制备工艺(如锻造、铸造)存在加工周期长、材料利用率低、复杂结构成形困难等瓶颈,尤其难以满足现代工业对异形薄壁构件的高精度制造需求[4]。
近年来,金属增材制造技术(additive manufac-turing,AM)的快速发展为解决上述问题提供了新思路。选区激光熔化(selectivelasermelting,SLM)作为AM技术的代表性工艺,通过高能激光束逐层熔化金属粉末,可实现复杂结构近净成形,显著减少材料浪费并缩短生产周期[5-6]。此外,SLM工艺的快速熔凝特性可诱导非平衡凝固组织(如超细晶粒、亚稳相),为调控材料性能提供了独特途径。研究表明,SLM成形的TC4钛合金可通过优化工艺参数(如激光功率、扫描速度、层厚)实现力学性能的显著提升,其抗拉强度可达1200MPa,远超传统锻造TC4合金(约900MPa)[7-8]。然而,SLM工艺的逐层堆积特性导致材料内部存在显著的热积累效应,易引发残余应力、孔隙缺陷及微观组织不均匀性,进而影响材料的综合服役性能。
当前,针对SLM成形TC4钛合金的研究主要集中在室温力学性能的优化,包括通过调整工艺参数细化晶粒、调控相比例以提升强度和塑性。例如,采用低功率(150W)与高扫描速度(1200mm/s)组合可显著细化β相晶粒,使屈服强度提高15%[9]。然而,现有研究对SLM成形TC4合金在高温环境下的性能演化机制关注不足。高温氧化是钛合金在航空发动机、核反应堆等服役环境中失效的主要原因之一,氧化膜的形成与剥落不仅导致材料表面退化,还会引发应力集中和疲劳裂纹扩展[10]。研究表明,传统锻造TC4合金在600℃下氧化增重速率约为0.15mg/(cm2·h),而SLM成形合金因微观组织的各向异性和残余应力的存在,其氧化行为可能呈现显著差异[11]。此外,工艺参数对材料耐腐蚀性能的影响机制尚未完全明确,尤其是微观组织(如晶界密度、相分布)与电化学腐蚀行为的关联性仍需系统研究[12-13]。
本研究以SLM成形TC4钛合金为对象,通过系统调控SLM工艺参数(激光功率与扫描速度),结合微观组织表征(EBSD、SEM)、力学性能测试及高温氧化试验,揭示工艺参数-微观组织-综合性能(力学、耐蚀、高温抗氧化)的协同作用机制。具体而言,首次将高温氧化动力学与工艺参数关联,阐明晶粒细化与相分布均匀化对抑制氧化膜生长的作用;同时,通过电化学测试定量分析微观缺陷(孔隙、微裂纹)对腐蚀电流密度的影响规律,为SLM成形TC4合金在高温腐蚀环境中的可靠应用提供理论支撑。
1、试验材料与方法
试验选用粒径15~53μm的TC4钛合金粉末,该粒径范围可平衡铺粉致密性与熔池稳定性[14],粉末形貌如图1(a)、(b)所示。成形设备为BLT-S210型选区激光熔融系统,基板材料为TC4钛合金,铺粉层厚控制在20μm以内以保障成形精度。采用67°层间扫描旋转策略与0.06mm扫描间距,以有效降低热积累引发的各向异性,抑制柱状晶过度生长,打印后样品如图1(c)所示,对应的选区激光熔化工艺参数如图1(d)所示。激光束依据旋转扫描路径逐层扫描,通过瞬时高能量密度熔化粉末。

室温拉伸试验依据GB/T228.1-2010标准,使用Instron-3369型万能试验机进行。每组参数制备3个平行试样以消除偶然误差。拉伸速率设定为1 mm/min,通过工程应力-应变曲线计算拉伸性能。
采用线切割从成形件中截取 10 mm × 10 mm × 10mm立方试样,经 200#~3000#砂纸逐级研磨、 0.5 μm金刚石抛光膏镜面抛光后,使用Kroll试剂(2% HF + 5%HNO 3 + 93%H2O)腐蚀试样 10 ∼ 15 s。利用 X射线衍射仪(Bruker D8 ADVANCE)进行物相分析(扫描角 10 ∘ ∼ 90 ∘,步长 0.02 ∘),结合光学显微镜(OM)与扫描电镜(SEM)观察熔池形貌及晶粒结构。致密度 ρ通过阿基米德排水法计算,公式为

式中: m为试样在空气中的质量 ; m1为试样在水中的质量; ρ1为水在空气中的密度。
为解析晶粒取向与相分布,试样经 −30 ∘C电解抛光(电解液: HClO4 : C4H10O : C2H5OH= 1:7 : 12)去除表面应力层。采用 MIRA4 LMH型电子背散射衍射(EBSD)系统采集取向数据,采用 TSLOIM软件处理生成相分布图与反极图。
氧化试验在纯氧气氛中进行,试验设备为THMEYS型热重分析仪,设定恒温氧化温度为 600 ∘C。热重分析系统内置高灵敏度微天平(分辨率 0.1 μg),实时监测氧化反应动力学参数,建立氧化增重速率与温度条件的定量关联模型。
2、试验结果及讨论
2.1打印样品形貌及致密度
图2为不同工艺参数制备的 TC4钛合金样品的致密度测试结果。从数据分布趋势可以看出,除 7 #样品(98.9%)和 8 #样品(99.6%)外,其余样品的致密度均稳定维持在 99.8%以上,这表明整体工艺参数的优化效果显著,成型质量已达到较高水平。进一步分析表明,激光功率与扫描速度的协同效应对致密度具有显著影响,尤其在较高功率条件下这种相互作用更为显著 [15]。当激光功率提升至250W时,若扫描速度设置过低(900mm/s),样品致密度下降至98.9%。这一现象源于能量输入与熔池动力学的失衡:在高功率激光作用下,过低的扫描速度显著延长了激光束在单位面积的作用时间,导致熔池温度梯度增大、熔体流动性增强。此时,金属蒸气反冲压形成的空腔无法被后续熔融金属及时填充,同时剧烈的熔体对流会裹挟保护气体或未完全逸出的氩气滞留于凝固组织中。此外,过高的线能量密度加剧了熔池振荡效应,促使匙孔向不稳定状态转变。上述因素的耦合作用最终在材料内部形成微孔洞和未熔合缺陷,从而降低致密度 [16−17]。值得注意的是,当扫描速度提升至合理范围时,激光能量输入与材料熔凝过程达到动态平衡,既可确保粉末完全熔化又能有效控制熔池行为,从而实现近乎完全致密的组织结构。

图 3(a)~(h)为采用 8种不同工艺参数制备的TC4钛合金样品的金相组织形貌。观察金相组织图像可知,不同工艺参数下打印的 TC4钛合金样品具有显著不同的微观结构特征。其中深色区域为刻蚀出的 β基体,细针状相为 α相。总体而言,较低的激光功率(175W)配合较高的扫描速度(1100mm/s)形成更细小且均匀的针状 α相组织(图 3(b))。较高的激光功率 (250 W)配合较低的扫描速度 (900 mm/s)
则导致 α相组织相对粗化(相较于图 3(b)样品)且均匀性下降(图 3(g), 7 #),并伴随可见微裂纹。在中等激光功率(200、225 W)条件下(图 3(c)~(f)),随着扫描速度的变化 (900 mm/s或 1100 mm/s),组织形态呈现过渡特征。需要指出的是, 7 #样品虽然功率最高、扫描速度最低,但其 α相针状组织在部分区域的尺寸并非最大(如与 4 #样品相比,图 3e)。这可能是极高的热输人导致熔池行为不稳定(匙孔效应加剧)和冷却速率极度不均,在局部区域抑制了晶粒持剧)和冷却速率极度不均,在局部区域抑制了晶粒持续长大,甚至诱发非平衡相变。然而,其代价是引入了显著的微裂纹和孔隙,这对力学性能和耐蚀性能产生严重影响。因此,评价组织特征需综合考虑晶粒产生严重影响。因此,评价组织特征需综合考虑晶粒尺寸、均匀性、相分布以及缺陷的存在。

图 4为不同工艺参数制备的 TC4钛合金样品的SEM组织图。借助Image-pro软件可以得到1#~8#样品的平均晶粒尺寸分别为 31.78、18.33、19.81、27.63、34.96、21.07、20.06、25.10μm。从显微组织照片中可以观察到,在较低的激光功率和较高的扫描速度下(如2#样品),β基体、α相更加细小且均匀。而在较高的激光功率和较低的扫描速度下(如5#样品),β基体、 α相则呈现更为粗大且不均匀的特征。随着激光功率进一步升高,晶粒尺寸呈现出减小趋势。这些差异可以归因于激光功率和扫描速度对材料熔化、结晶过程的影响。较低的激光功率和较高的扫描速度有助于减少材料的过热现象,促进细小均匀晶粒的形成;而较高的激光功率和较低的扫描速度则容易导致材料过热,进而形成粗大晶粒[19]。

2.2扫描工艺参数对力学性能的影响
图5展示了不同扫描工艺参数制备的TC4钛合金样品的拉伸性能。1#~8#样品的屈服强度(YS)分别为960、977、947、952、964、907、888、924 MPa;抗拉强度(UTS)分别为1053、1093、1066、1064、1051、1038、1048、1020MPa;伸长率(EL)分别为7.15%、9.29%、8.05%、7.78%、5.77%、9.01%、8.33%、7.66%。其中,2#样品的屈服强度、抗拉强度和伸长率均最高;7#样品的屈服强度最低(888MPa);8#样品的抗拉强度最低(1020MPa)。为探究力学性能差异的微观机制,并研究不同激光功率下扫描速度的影响,选取1#、2#、7#、8#样品进行EBSD组织分析。

2.3扫描工艺参数对微观组织结构的影响
图6、7分别展示了1#、2#、7#、8#样品的EBSD图和极图。当激光功率保持175W时(1#、2#样品),扫描速度从900mm/s提升至1100mm/s,熔池冷却速率显著加快,导致晶粒细化程度提高且晶界分布更加均匀[20]。这种细晶强化效应直接提升了材料力学性能:与1#样品相比,2#样品的屈服强度和抗拉强度分别提升了1.78%和3.79%,同时伸长率从7.15%增至9.29%。这表明适度提高扫描速度可通过优化凝固组织实现强度与塑性的协同增强。当激光功率提升至250W后(7#、8#样品),热输入量增加改变了材料的凝固动力学过程。在900mm/s扫描速度下(7#样品),较高的功率导致熔池深度与宽度比增大,热影响区晶粒发生异常长大并伴随较多残余应力,最终其屈服强度在这4组样品中最低。而8#样品虽通过提高扫描速度至1100mm/s,部分抑制了晶粒粗化,但过快的扫描速度削弱了熔池金属的重熔效果[21],导致晶界处β相分布不均,使得抗拉强度降至最低水平。
综上,工艺参数(激光功率P与扫描速度v)通过调控熔池热输入(线能量密度E≈P/v)和冷却速率,深刻影响了TC4钛合金的微观组织演化路径。具体表现为:2#样品,低功率(175W)配合高扫描速度(1100mm/s)导致高冷却速率,促进了细小均匀的α+β双相组织形成(平均晶粒尺寸18.33μm)和弱且多向弥散的α相织构(图7(b){0001}:24.39, {10 1 0}:11.47, {11 2 0}:16.40)。这种微观组织特征通过细晶强化、均匀的应力分布以及抑制裂纹萌生与扩展,共同赋予了材料最优的综合力学性能。相反,7#样品高功率(250W)配合低扫描速度(900mm/s)导致高热输入和低冷却速率,引起β相晶粒粗化、α相{0001}基面织构显著强化(图7(c){0001}:10.95)但其他取向弥散,以及微裂纹和孔隙形成(致密度98.9%)。粗大的晶粒、强基面织构引起的应力各向异性以及微缺陷的存在,共同导致力学性能(特别是屈服强度)的显著降低。即使高功率配合较高扫描速度,如8#样品,虽然晶粒有所细化,致密度提高,但其残余的织构不均匀性(图7(d){0001}:24.76强,{10\overline{1}0};6.93弱)和潜在的微缺陷,仍使其综合性能低于2#样品。因此,工艺参数对微观组织的调控是决定TC4钛合金最终综合性能的核心要素。
为了深入解析 α相织构特征及其与力学性能的关联,对1#、2#、7#和8#样品进行了EBSD分析,并绘制了HCP α相沿{0001}基面的极图,见图 7。极图中点的密度分布直观反映了晶粒c轴(<0001>方向)在样品坐标系中的取向集中程度。2#样品{0001}极图显示中等强度的基面织构。极点分布有一定集中趋势但不单一,表现出一定的弥散性,这与细小均匀的组织特征相符。这种织构结合其在{1010}和{1120}方向上的分布特征表明多方向上存在协调性。7#样品{0001}极图显示出显著弱化的基面织构,极点分布非常弥散,反映出高度随机的c轴取向,这与粗化组织及最低的致密度(98.9%)一致。8#样品{0001}极图呈现出极强的基面织构,极点高度集中在一小区域内,表明强烈的单一择优取向。这种织构与观察到的组织特征相关联。1#样品{0001}极图显示的织构强度介于2#和7#之间,具有一定的集中趋势,但不如2#样品协调,也不如8#样品的织构强度大。
结合EBSD整体数对α相织构的影响可总结为:低功率、高扫描速mm/s),适中的热输的完全再结晶和定向态从β基体中析出,形和中等强度、多向相对征通过细晶强化、均生与扩展的机制,共性能。高功率、低扫描速mm/s),高热输入和a相在缓慢冷却过程高度弥散的弱织构,并度98.9%)。粗大的弱(但应力集中风险仍导致了力学性能(特别是劣化。高功率-较高扫描速mm/s),虽然扫描化(平均尺寸25.1(99.6%),但高热输面织构,导致晶界处应协调变形能力,尽管其屈但其抗拉强度(1020长率(7.66%)也低于2# 样品。


2.4扫描工艺参数对耐腐蚀性能的影响
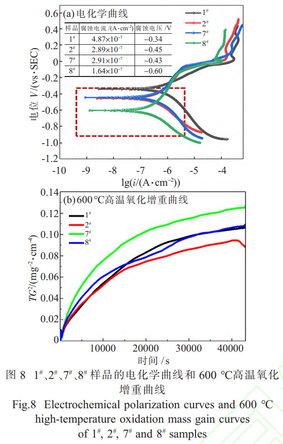
图8为1#、2#、7#和8#样品在3.5wt%NaCl溶液中的电化学曲线与600℃下纯氧环境下的氧化增重曲线。从极化曲线可知,1#样品表现出最高的腐蚀电流密度(Jcorr=4.87x10-7A/cm2)和最正的腐蚀电位(Ecorr=-0.34V),表明其在腐蚀介质中优先发生阳极溶解且稳定性较差;而8#样品则展现出最低的Jcorr值(1.64x10-7A/cm2)和最负的E(-0.60V),反映出其表面钝化膜的优异保护性及电化学惰性[22-23]。
为了定量评估不同工艺参数对高温抗氧化性能的影响,依据图8(b)的氧化增重数据,计算了样品在600℃下的平均氧化速率。结果表明,2#样品的平均氧化速率最低,约为0.0075mg/(cm2·h);1#样品为0.0083mg/(cm2·h);8#样品为0.0092mg/(cm2·h);而7#样品最高,达到0.010mg/(cm2·h)。氧化速率k与工艺参数诱导的微观组织特征(如晶粒尺寸d、孔隙率p)呈现显著的关联性,初步建立的定量关系可表示为:k∞f(d,p)。这一结果验证了低功率配合高扫描速度(175W,1100mm/s)通过细化晶粒、提高致密度并减少微裂纹,有效抑制了氧离子沿晶界和缺陷通道的扩散,从而显著降低了氧化增重速率[24]。
电化学性能与高温氧化性能结果进一步印证了上述微观组织对综合性能的决定性作用。细小均匀的α+β双相组织不仅提供了更多的晶界阻碍位错运动(提升强度),也促进形成更均匀的表面钝化膜,降低了腐蚀电流密度。同时,细小的晶粒和高的致密度极大限制了氧在材料内部的扩散通道,从而显著提升了高温抗氧化性能。而组织粗大、强基面织构和微缺陷则破坏了表面膜的均匀性和致密性,并为氧扩散提供了快速通道。这表明通过工艺参数优化微观组织,是实现TC4钛合金高强度、良好塑性、优异耐蚀性和高温抗氧化性协同提升的关键。

3、结论
(1)SLM工艺参数通过调控熔池热输入与凝固过程,显著影响TC4钛合金的致密度、微观组织及织构演化。优化参数组合(激光功率175W、扫描速度1100mm/s)的2#样品在确保高致密度的同时,通过平衡热输入与冷却速率,诱导形成细小均匀的α+β双相组织与中等强度、多向相对协调的α相织构,有效抑制了应力集中,并促进形成均匀稳定的表面钝化膜,使材料协同优化了力学性能、耐腐蚀性能和高温抗氧化性能。
(2)高功率-低扫描速度组合(250W,900mm/s)因热输入过量导致a相{0001}基面织构显著弱化且弥散,并伴随β相异常析出、晶粒粗化及微裂纹形成。粗大组织、弥散弱织构引起的应力协调性差以及微缺陷共同作用,致使其屈服强度与高温抗氧化性能显著劣化。而8#样品(250W,1100mm/s)虽通过提升扫描速度部分抑制晶粒粗化,但其形成的极强单向{0001}基面织构削弱了晶界协调变形能力,导致综合性能低于2#样品。
(3)织构特征(取向强度与分布均匀性/协调性)是连接工艺参数与综合性能的关键桥梁。低功率-高扫描速度工艺(175W,1100mm/s)通过抑制β相高温停留时间与定向再结晶,促进形成细小均匀组织和中等强度、协调性较好的a相织构,为SLM成形TC4合金的高强、高韧、高耐蚀、高抗氧化设计提供了有效途径。推荐采用激光功率175W、扫描速度1100mm/s的参数组合(2#样品),以实现复杂工况下材料综合性能的优化。
参考文献
[1] Tian F J,Zhu Y X,Chen W,et al. Influence of SLM process parameters on the microstructure and mechanical properties of Ti-1023 alloy[J]. Materials Letters,2025,391:138521.
[2] Aufa A N, Hassan M Z, Ismail Z. Recent advances in Ti-6Al-4V additively manufactured by selective laser melting for biomedical implants:prospect development[J]. Journal of Alloys and Compounds,2022,896:163072.
[3]Wei G, Tan M, Attarilar S, et al. An overview of surface modification,a way toward fabrication of nascent biomedical Ti-6Al-4V alloys[J]. Journal of Materials Research and Technology,2023,24:5896-5921.
[4]Chen R, Xu J, Zhao F, et al. Preparation of microstructure laser ablation and multiple acid-etching composites on the surfaces of medical titanium alloy TC4 by laser ablation and multiple acid-etching,and study of frictional properties of the processed surfaces[J]. Metals,2022,12:1148.
[5]Chen Y, Fu J, Zhou L,et al. Effect of heat treatment on microstructure and mechanical properties of titanium alloy fabricated by laser-arc hybrid additive manufacturing[J]. Coatings,2024,14(5):614.
[6]Yang J, Yang H, Yu H, et al. Corrosion behavior of additive manufactured Ti-6Al-4V alloy in NaCl solution[J]. Metallurgical and Materials Transactions A,2017,48:3583-3593.
[7] Zhang B, Li Y, Bai Q. Defect formation mechanisms in selective laser melting:a review[J]. Chinese Journal of Mechanical Engineering,2017,30(3):515-527.
[8] Bai L, Xu Y, Chen X,et al. Improved mechanical properties and energy absorption of Ti6Al4V laser powder bed fusion lattice structures using curving lattice struts[J]. Materials& Design,2021,211:110140.
[9]Peng H,Liu F,Chen Y,et al. Very high cycle fatigue behavior of laser powder bed fusion additively manufactured Ti6Al4V alloy at elevated temperature[J]. International Journal of Fatigue,2023,171:107599.
[10] Zhao Z Y, Li L, Bai P K, et al. The heat treatment influence on the microstructure and hardness of TC4 titanium alloy manufactured via selective laser melting[J]. Materials,2018,11(8):1318.
[11] Liu X, Cui W, Wang Y, et al. Effects of heat treatment on the microstructure evolution and mechanical properties of selective laser melted TC4 titanium alloy[J]. Metals,2022,12(5):702.
[12]冯晓甜,顾宏,周圣丰,等.送粉式激光增材制造TC4钛合金熔覆层组织及电化学腐蚀行为的研究[J].中国激光,2019,46(3):44-53.
[13]杨慧慧,杨晶晶,喻寒琛,等.激光选区熔化成形TC4合金腐蚀行为[J].材料工程,2018,46(8):127-133.
[14] Jiang J, Ren Z, Ma Z, et al. Mechanical properties and microstructural evolution of TA15 Ti alloy processed by selective laser melting before and after annealing[J]. Materials Science and Engineering A,2020,772:138742.
[15]Yan Q, Xue T, Liu S,et al. A comparative study of surface characterization and corrosion behavior of micro-arc oxidation treated Ti-6Al-4V alloy prepared by SEBM and SLM[J]. Journal of Iron and Steel Research International,2023,30(1):165-175.
[16] Bhandari L, Gaur V. On study of process induced defects-based fatigue performance of additively manufactured Ti6Al4V alloy[J]. Additive Manufacturing,2022,60:103227.
[17] Sanaei N, Fatemi A. Defects in additive manufactured metals and their effect on fatigue performance:a state-of-the-art review[J]. Progress in Materials Science,2021,117:100724.
[18]李佳宜,刘玉德,周裕圣,等.激光重熔对TC4选区激光熔化成形质量及力学性能的影响[J].激光与光电子学进展,2022,59(5):239-247.
[19]张鑫何,白海清,杨思瑞,等.基于遗传算法的钛合金SLM多目标优化[J].应用激光,2023,43(9):23-31.
[20]吴慧敏,罗志强,金胜然.激光功率和扫描速度对选区激光熔化成形TC4钛合金组织和性能的影响[J].机械工程材料,2021,45(9):51-57.
[21]冯恩昊,王小齐,韩潇,等.激光选区熔化Ti6Al4V合金的工艺参数优化[J].粉末冶金技术,2022,40(6):555-563.
[22] Cheng H, Luo H, Cheng J, et al. Optimizing the corrosion resistance of additive manufacturing TC4 titanium alloy in proton exchange membrane water electrolysis anodic environment[J].International Journal of Hydrogen Energy,2024,93:753-769.
[23] Fan W, Wang Q, Yan Y, et al. Distinctive performance evolution of surface layer in TC4 alloy oxidized at high temperature:softening or hardening?[J]. Journal of Alloys and Compounds,2023,968:172125.
[24] Hu K, Tian Y, Jiang X, et al. Microstructure regulation and performance of titanium alloy coating with Ni interlayer on the surface of mild steel by laser cladding[J]. Surface and Coatings Technology,2024,487:130939.
(注,原文标题:增材制造TC4钛合金的力学性能及耐腐蚀性能研究)
相关链接