引言
随着全球科技的革新突破和人口数量的指数增长,传统陆地资源供给体系已逼近承载阈值。基于资源战略安全与可持续发展的考量,海洋资源开发已成为缓解资源供需矛盾的关键路径。船舶作为海洋资源开发的核心工程装备,其材料性能与制造技术水平直接决定海洋资源开发的深度与广度。具体而言,船体结构材料的比强度、耐腐蚀性能、可加工性及疲劳寿命等关键性能指标,直接影响船舶的服役性能与作业能力。钛合金作为20世纪中期发展起来的一种重要结构金属,具有密度低、比强度高、耐腐蚀性强以及高透声系数和无磁性特性,几乎满足船舶用材料的全部要求。因此,钛合金厚板在船舶构件的制造过程中有着不可忽视的重要性和利用前景。
尽管钛合金在船舶工程领域优势显著,但由于厚板自身的厚度尺度差异会导致表层与芯部的热传导和热加工梯度差异显著,进而引发厚度方向组织不均匀性和残余应力分布问题。现有研究多聚焦轧制工艺以改善厚向组织均匀性和焊接工艺,进而满足接头处性能要求,关于厚向组织不均匀性对钛合金厚板成形影响的相关研究鲜有报道。针对厚板厚度尺度的非均匀性问题,研究不同成形工艺条件下厚板厚向组织不均匀性对力学行为的影响,并将其力学行为不均匀引入至大型壳体件成形预测中,具有重要的工程实用意义。
以大型壳体制造中关键的、具有大曲率特征的厚板瓜瓣构件为研究对象,研究了TC4钛合金厚板大型壳体件的精密热压成形技术。同时,由于瓜瓣几何尺寸较大,其边缘区域的回弹量呈现明显的尺寸依赖性特征,探究应力松弛时长对TC4钛合金残余应力的释放规律,从而通过应力松弛释放残余应力来减小回弹。基于TC4厚板的厚向组织与性能不均匀性,开展分层高温拉伸变形规律特征研究及TC4钛合金高温应力松弛行为研究,建立分层的热变形本构模型及应力松弛本构模型。在此基础上,开展TC4钛合金厚板瓜瓣热压成形-应力松弛-回弹全过程有限元模拟,明确工艺参数的影响规律。最终,通过实验验证仿真模型的准确性,对实现高精度、高性能厚板大型壳体件的精确成形提供理论指导与工艺支撑。
1、实验材料与方法
实验材料为轧制后退火的TC4板材,表1为其化学成分,厚度为45mm。构件模型为外径1500mm的小半球上截取出的厚壁曲面瓜瓣构件。在小半球上去除φ800mm的圆底区域并进行六等分,获得厚壁曲面。瓜瓣构件的坯料尺寸为上底905mm、下底1610mm、高1650mm的梯形坯料。
表1 TC4钛合金的化学成分(质量分数,%)
| Al | V | Fe | C | N | H | O | Ti |
| 5.5 | 3.5 | 0.3 | 0.1 | 0.05 | 0.015 | 0.2 | 余量 |
将厚板上半部分沿厚度方向划分为表层(0~9 mm)、中层(9~19mm)、芯部(19~29mm)。采用线切割沿轧制面从以上层面分别切取表层(0~2mm)、中层(10~12mm)、芯部(27~29mm)试样,加工成微观组织试样、拉伸试样及应力松弛试样。板状拉伸试样的标距截面沿横向为15mm,纵向为2mm,法向为2mm。利用光学显微镜(OM)及带电子背散射衍射(EBSD)系统的扫描电镜(SEM,TESCAN S8000GMH)进行微观结构表征,EBSD扫描步长为0.2μm。采用高温电子万能实验机(三思纵横UTM5000)进行高温拉伸实验和厚板表层区域的应力松弛实验,高温拉伸温度选取750~900℃,应变速率为0.001~0.05s-1;应力松弛试验温度选取800~850℃,预应变5%、13%、20%,松弛时间为1h。采用ABAQUS软件进行TC4厚板瓜瓣的有限元模拟。
TC4大尺寸厚板瓜瓣实验件压制实验使用1000t热成形设备,内置12区控温装置,能够实时监测和调节加热板各区域的温度,实现均匀温度分布,确保模具和试样在成形过程和保压过程中受热均匀。此外,该设备配有高精度压力传感器和控制系统,能够动态调整液压缸的压力输出,确保在整个保压过程中压力波动范围控制在允许误差内。

2、TC4厚板力学性能研究
2.1厚向微观组织差异
图3为TC4钛合金厚板不同厚度区域的微观组织。分析表明,同一区域组织均匀性较好,但不同区域差异显著。以距表层1、12、28mm处为例,从表层至芯部,板条状α相由细短向粗长演变;SEM照片显示出表层与芯部明显的β相形貌差异,表层β相细小、破碎、不连续,沿厚板从表层向芯部的深度方向,β相逐渐向连续性发展。
图4是TC4钛合金厚板不同厚度的EBSD、KAM和IPF结果。芯部平均晶粒尺寸显著大于表层,中层呈现粗晶(>40μm)与细晶(<5μm)共存的双峰分布。这些小于5μm的晶粒显著细于表层1mm位置处的晶粒,结合工艺分析,推测1mm位置处出现的晶粒尺寸异常现象可能与轧制后的不完全退火过程有关:在退火过程中,厚板的再结晶行为受到变形储能梯度的显著影响,表层晶粒显著长大,从而形成相对粗化的晶粒组织。表层因轧制后退火储能较高导致晶粒粗化。局部应变分析显示,厚板不同厚度位置均存在严重的局部应变,这与其轧制主要采用的不完全退火工艺有关。中层因退火不充分且轧制塑性应变量大,位错增殖与缠结显著,局部应变最剧烈;表层因退火充分,位错密度低,局部应变较小;芯部因变形储能积累不足,在后续不完全退火条件下仍表现出较小的局部应变。表层β相含量最高,其塑性协调能力与细晶强化协同作用,赋予表层高强度与高伸长率。


2.2高温力学性能规律
高温拉伸结果表明(图5、6),相同的变形条件下,不同厚度层的力学性能呈现出显著的厚度梯度效应:抗拉强度由表层至芯部明显升高,而伸长率则由表层至芯部显著下降。表层的伸长率远高于其他厚度层,且对组织不均匀性敏感性远高于抗拉强度。芯部区域则保持更高强度和较低的伸长率。此外,不同层间性能差异的变化均在一定范围内。
由于该高温拉伸温度范围大多处于或接近TC4钛合金超塑性成形温度范围内,由原始厚板不同厚度尺度的EBSD结果可知,表层晶粒尺寸较小且尺寸分布相对均匀,晶界面积分数大幅增加,高密度晶界为高温变形过程中晶界滑动提供了大量选择。同时,细晶组织通过促进动态再结晶和晶界迁移等软化机制,导致厚板表层流变应力下降和伸长率提升。与之相对,芯部区域则保持更高强度和较低的伸长率。实验结果表明,尽管厚度梯度效应导致材料力学性能存在一定差异,但厚板不同层间的性能差异变化均在一定范围内。


为进一步探究厚板分层高温拉伸后的微观组织差异,取温度为850℃和应变速率为0.005s-1时厚板表层、中层、芯层的高温拉伸试样断口附近位置试样,在电子背散射衍射下进行观测,如图7所示。分析表明:高温拉伸后各层晶粒均细化,TC4钛合金厚板的表层和芯部高温拉伸后断口区域均存在尺寸超过15μm的粗大晶粒,而中部区域晶粒尺寸分布相对均匀,芯部高温拉伸后断口区域的粗大晶粒可能是由于动态再结晶不充分;而表层存在的粗大晶粒是由于表层塑性较好,其高温拉伸断裂时长远大于中部和芯部,由于受热时间长导致的晶粒长大现象。
由图7(d)~(i)可见,中层与芯层断口区域的最大核平均取向差均高于表层,中层与芯层在高温拉伸时塑性变形协调能力较差,动态回复与动态再结晶的软化效应较弱,导致位错湮灭率降低,局部高位错密度得以保留。表层β相占比仍显著高于中层和芯部,高温下β相动态回复速率优于α相,有效降低局部应变集中,与表层最佳高温伸长率相吻合。

2.3 TC4钛合金应力松弛行为研究
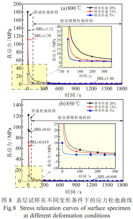
对于大型壳体件(如瓜瓣),其边缘区域的回弹量呈现明显的尺寸依赖性特征,其回弹行为更为显著。TC4钛合金在热成形的保压阶段会表现出显著的短时应力松弛效应,其本质是在恒定总应变条件下,材料内部发生弹塑性转变机制,即部分弹性应变逐渐转化为塑性应变,导致应力场随时间演化而衰减。这种应力松弛效应将直接影响模具卸载后的回弹行为,表现为回弹量显著降低。为深入探究保压时间对厚板成形件回弹行为的调控机制,并实现回弹量的精确控制,有必要系统研究TC4钛合金厚板在800~850℃下的应力松弛行为。
图8为表层试样在不同变形条件下的高温应力松弛实验获得的应力松弛曲线。应力松弛曲线呈现典型双阶段特征:初始快速衰减阶段,应力急剧下降,随后进入渐进式稳态阶段。应力松弛效应将显著降低模具卸载后的回弹量。由于应力松弛实验数据存在波动且采样密度有限,在此通过函数逼近法拟合数学模型的方式为后续数据处理提供支持。在应力松弛曲线的数学拟合领域,多种函数拟合方式已被学者系统研究,主要包括指数函数拟合、对数函数拟合、延迟函数拟合等数学模型方式,其中五次延迟函数凭借高阶多项式结构和高适应性特征,在应力松弛函数拟合中占据一席之地。本文采用五次延迟函数表征TC4钛合金厚板应力松弛曲线,如式(1)所示:

式中: σ为真应力(MPa); σr为应力松弛极限(MPa);为应力松弛时间(s); B1、B2、B3和B4为应力松弛材料参数(MPa); τ1、τ2、τ3、τ4为应力松弛时间参数(s)。
图9是不同变形条件下的应力松弛曲线五次延迟函数拟合图。可看出,拟合的5次延迟函数相关系数高达99%,说明该5次延迟函数可以较好地描述TC4钛合金松弛应力随时间的变化曲线。


3、TC4厚板瓜瓣热压成形有限元模拟
3.1 TC4钛合金厚板热变形本构方程
建立热变形过程中流变应力与热力参数之间的联系,以提高有限元模拟仿真精度,从而更加准确地预测成形实验可能出现的缺陷。钛合金的流变行为与应变速率、变形温度存在较大关系,且随着应变量增大,表现为位错增值与动态再结晶竞争机制主导了材料加工硬化与软化行为,二者之间的动态平衡显著影响流动应力响应。因此,在TC4钛合金热变形本构方程的选择上,需要将应变量、应变速率、变形温度作为关键控制变量建立本构方程,从而精准预测宏观力学性能。
传统的Arrhenius本构方程虽引入了变形激活能并考虑了应变速率和温度的影响,但仍然忽略了应变量对流变应力的显著影响,这将会一定程度的降低流变应力预测的准确性。因此,通过引人与应变相关的高阶多项式,将n、Q、ln A等参数动态修正为应变的函数,从而更加全面描述材料在热变形过程中的非线性力学行为。具体来说,考虑应变补偿的Arrhenius本构方程并非改变传统的Arrhenius本构方程公式的形式,而是通过选择多个离散应变点,分别计算各应变点下的材料参数,从而对相关参数进行动态修正。考虑应变补偿的Arrhenius本构方程形式如式(2)所示:

式中: σ为流动应力,MPa; ε ˙为应变速率, s −1; A为结构因子; n为应力指数; Q为热变形激活能,J/mol; R为摩尔气体常数,8.314 J/(mol·K); T为变形温度,K; α为和变形无关的应力水平参考系数。
3.2厚板热压成形有限元模拟设置
有限元模拟中所用的材料本构关系基于高温拉伸实验数据建立。本文选择的最佳工艺参数为成形温度850℃、应变速率0.01s-1,是基于系统的高温拉伸实验结果。研究表明:在850℃时,TC4厚板不同厚度层均表现出较高的伸长率和适中的流变应力,实现了强度与塑性的良好匹配,有利于热塑性成形在Abaqus中,根据分层方案(表层、中层、芯部)分别创建不同的材料属性,并通过定义相应的单元集合(element sets),将各层的本构模型参数精确赋予给模型中对应的分层区域。在三维建模软件UG中将厚板瓜瓣的上、下表面提取并向四周延伸200mm,并在凹模四角区域设置平台,凹模圆角半径设置为60mm,建立1/2瓜瓣凸凹模模型,确保坯料在冲压过程中的初始水平放置,坯料四角与凹模平台区域接触面积不超过30mm×40mm。
设置凸模、凹模为解析刚体并选择任意点为参考点;设置板材为变形体,将对应各厚度层(表层、中层、芯部)的高温拉伸本构模型参数分别赋予模型中对应的分层区域,忽略各分层区域内部更细尺度的微观不均匀性问题,确保厚板热压有限元模拟分析更加准确。为确保计算精度,特别是准确捕捉厚板在厚度方向的应力梯度,将板材(厚度45mm)在厚度方向上划分为6层网格。设置板材全局网格尺寸为15mm,同时在凹模圆角等大变形区域进行了网格加密处理;设置凸模和凹模全局网格尺寸为20mm,设置板材与凸凹模单元类型分别为显式三维应力和显式离散刚体。
设置分析步为动力显式,时间长度为50s。在相互作用模块,分别设置凸模与凹模为主面,板材为从面,并设置接触方式为罚接触,摩擦系数为0.12,该值的设定参考了同类钛合金高温成形仿真的经验值,TC4钛合金在高温成形条件下与模具钢接触的常见取值范围(0.10~0.15)。在载荷模块,设置凹模为完全固定,凸模为匀速下压,并固定板材对称轴面的Y向移动和X、Z方向旋转自由度。完成以上设置步骤后,即可开始运算。
3.3厚板热压成形有限元模拟结果
基于高温拉伸变形行为和应力松弛行为探究,最终选取成形温度850℃、应变速率0.01s-1作为研究对象,系统分析瓜瓣构件在热压成形过程中的应力分布、应变分布及厚度演化分布。图10模拟结果表明:瓜瓣外表面的中心区域由于受到显著的双向拉伸应力作用,表现出外表面中心区域应力最高的情况,如图10(d)所示,内表面则呈现出如图10(c)所示的四边中点应力最高的情况,瓜瓣长边厚度维度表现出中间层厚度处应力最大,此情况主要是由于采用了TC4钛合金分层化材料参数设置而导致的。如图10(i)、(j)所示,瓜瓣对称面一侧仍表现出厚板外层应力较大。应变分布与应力分布具有一致性,瓜瓣成形最终应变状态仍表现出瓜瓣四边中部区域和厚板外表面中心区域的应变集中分布,最大应变区域仍为厚板厚度维度的中间层区域。如图10(e)、(f)所示,瓜瓣热压成形属于大曲率厚板热压成形过程,其整体变形量相对较小。数值模拟结果表明,等效塑性应变在增量步第16步时才开始显现,在完全成形后部分变形区域也表现出低等效塑性应变状态。若在热压成形后直接取件而不进行一定时间的保压工序,将会导致较大的回弹情况,从而造成较低的尺寸形状精度,因此进行后续的应力松弛和回弹有限元模拟分析是十分必要的。
图11(a)、(b)为不同路径下的厚度减薄分布情况。路径3两端区域、路径4边缘区域、路径6边缘区域(对应瓜瓣大、小头两角区域,区域面积30mm×40mm)呈现出显著的厚度减薄现象。这主要是由于在成形过程中该区域流经凹模圆角时承受较大变形所致,其最大减薄量可达约0.76mm,厚度减薄相对严重,但该区域可归类为工艺余量区,最终通过精密加工切除,因此该区域的厚度减薄对于整体成形精度影响不大。
此外,路径2大小头两端区域出现了明显的厚度增厚趋势,如图11(a)所示,视角a、b下路径2的大小头两端位置点仍处于增厚区范围内。图11(b)所示的路径4中心区域、路径6中心区域和路径5边缘区域厚度增厚也是同样原因。总体来说,除瓜瓣四角区域的厚度剧烈减薄外,沿纵向路径厚度减薄最显著的是沿对称面的路径1,沿横向路径中心减薄最显著的是沿对称面的路径5。


3.4厚板应力松弛有限元模拟
将TC4钛合金厚板瓜瓣热成形后的结果文件通过预定义场模块导入至应力松弛工步中,代入应力松弛本构模型中温度850℃、应变速率0.01s-1、预变形量20%下的材料参数,设置分析步为粘性,不改变热压成形相互作用,并将凹模、凸模完全固定,板料对称条件不更改,在此情况下设置不同的分析步时长进行应力松弛有限元模拟分析。
完成应力松弛有限元模拟后,为检验应力松弛后的回弹情况,将应力松弛后的结果文件通过预定义场导入至回弹工步中,保持板料对称条件不更改;并增加板料下压中心处的完全固定边界条件,在此情况下进行回弹有限元模拟分析。
由于瓜瓣的回弹量在边缘区域较为显著,在此分别以瓜瓣回弹后路径1和路径2的轮廓曲线评估不同应力松弛时间后的回弹情况。图12为不同路径下预变形量20%的厚板瓜瓣应力松弛-回弹耦合模拟,当应力松弛时长为300s时,瓜瓣最大回弹量为13.6mm,表现出与热压成形轮廓明显的不重合;当应力松弛时长为600s时,瓜瓣最大回弹量为1.33mm,回弹后的轮廓基本与热压成形后轮廓重合,但通过放大该曲线仍能发现轻微不重合现象;当应力松弛时长为900和1200s时,瓜瓣最大回弹量仅分别为0.315和0.196mm,回弹后轮廓与热压成形轮廓基本完全重合。当应力松弛时长从900s增加到1200s时,回弹位移改善不明显。综上,应力松弛时长900s为最佳工艺参数,此时高温应力松弛释放了大部分内应力,回弹量极少,因此热压成形-应力松弛后的瓜瓣无需回弹优化补偿。

4、TC4钛合金厚板热压成形实验
图13是成形后的实验件实物图。考虑到热压成形后的瓜瓣具有大尺寸和曲面形状的几何特征,传统的样板和卡尺难以精确测量成形后试样的曲面形状分布及厚度变化。因此,本研究采用高精度三维激光扫描仪和超声波测厚仪,分别对成形件的曲面形状和厚度进行测定,为评估成形质量提供可靠依据。
4.1实验件的形状质量检测与评估
图14为瓜瓣实验件内表面与理想CAD模型的对比评估图。负向间隙偏差代表成形件该位置位于理想CAD模型的下方,即成形件与理想CAD模型在此处相交,正向间隙偏差则代表成形件该位置位于理想CAD模型上方,即成形件与理想CAD模型在此处有间隙。观察其内表面形状偏差评估结果发现,成形件与理想CAD模型的最大形状公差控制在±2mm范围内,满足精密成形要求。


4.2实验件的厚度质量检测与评估
针对瓜瓣实验件厚度检测,采用高精度超声波测厚仪测定其壁厚分布,为工艺质量评估提供数据支撑。在厚度检测过程中,重点关注关键路径的厚度变化,通过选取具有代表性的测量路径,实现关键区域壁厚变化的监测。按照路径1、路径5将有限元模拟厚度分析结果和实测厚度数据结果对比,分别如图15(a)、(b)所示。有限元仿真的厚度结果与实测结果数据总体趋势一致,且差异不大,均为厚板四边中点区域呈现出较为明显的厚度增厚趋势,而厚板中心区域呈现出较为显著的厚度减薄趋势,表明有限元模拟结果具有一定的预测精度。
然而,曲面大部分区域难以准确定位横纵坐标,针对该情况,通过分区测量法将工件划分为若干测量区域,以保证尽可能检测到多个部位的厚度。如图16(a)所示,划分出厚度减薄最严重的分区1、增厚最严重的四边中心区域分区2以及厚度变化位于分区1和分区2之间的分区3这3种区域,并随机测量实验和有限元模拟结果中相同分区范围内的15个位置点厚度。如图16(b)、(c)所示,分区1的实测数据∈(57.25,57.59),而分区1的模拟数据∈(57.35,57.65);分区2的实测数据∈(57.68,58.45),而分区2的模拟数据范围内∈(57.68,58.31),因此在瓜瓣分区1和分区2厚度实测数据与模拟数据分布差异不大。如图16(d)所示,瓜瓣分区3内实测数据和模拟数据略有差异,考虑是由于分区3内与模具接触相关的摩擦系数值与实际情况有一定差距,且分区3内出现的实测数据和模拟数据厚度最小值均为瓜瓣四角流经凹模圆角时承受较大减薄的区域。总体来说,有限元模拟数据与实测数据区间近似,表明该有限元模拟具有较高的预测精度。


5、结论
(1)TC4钛合金厚板存在显著的厚向组织梯度,从表层到芯部板条状a相由细短向粗长演变,表层的β相细小、不连续,且逐渐向芯部呈连续性发展。750~900℃高温拉伸时,沿厚度方向抗拉强度由表层至芯部升高,伸长率则下降,归因于表面细晶促进动态再结晶与晶界滑动。
(2)原始厚板表层晶粒细小、β相含量高,局部应变低;中层局部应变最显著且粗/细晶混合;芯部晶粒粗大。高温拉伸后表层残留粗晶,但高β相含量保持其高塑性。
(3)TC4钛合金厚板在800~850℃、预变形量5%~20%下,应力松弛呈双阶段特征:初始快速松弛阶段应力随松弛时间延长而快速衰减,在达到某一松弛时间后进入稳态缓慢松弛阶段,呈现渐进式缓慢衰减特征。在该变形条件范围内,TC4钛合金应力松弛过程均可在1800s内达到稳态平衡状态。
(4)基于厚板分层热变形本构方程建立材料分层模型,对TC4钛合金厚板大型壳体件成形进行有限元模拟,发现该大曲率厚板热成形后工件部分区域处于低等效塑性应变甚至弹性应变状态。增加应力松弛工艺有限元分析,通过分析热压成形阶段不同成形温度、不同应变速率及应力松弛阶段不同保压时长对TC4钛合金厚板热成形应力应变、厚度减薄及回弹的影响,最终确定最佳工艺:850℃、0.01s-1、900s保压。通过模具结构设计和热压成形复合应力松弛工艺实验,获得了形状公差控制在±2mm的瓜瓣实验件。并通过路径测量法与分区测量法与有限元模拟分析结果对比,发现其与有限元模拟总体趋势保持一致并且偏差较小,实现大型壳体的精密成形,验证了工艺可行性。
参考文献:
[1]张兴红.海工钢轧制厚板中氧化铝夹杂演变行为的模拟研究[D].秦皇岛:燕山大学,2023:23-25.
[2]颜弋凡.基于性能预测的中厚板定制化加工工艺窗口设计方法研究[D].北京:北京科技大学,2022:45-48.
[3] Yan R, Wang J, Zheng W G. Application and developmentof ship welding material[J]. Advanced Materials Research,2013,2586(774/776):1426-1429.
[4]Fu K, Zheng J, He Z, et al. Comparative study of the strain and strain rate hardening mechanisms and its workability during hot deformation of TC4 titanium alloys[J]. Journal of Alloys and Compounds,2024,1009:176989.
[5]Li H,Sun E, Wang K. Influence of lamellar-α geometry char-acteristics on mechanical properties of bimodal microstructure in Ti-6 Al-4V alloy[J]. Materials Science and Engineering A,2025,927:148018.
[6]Zhang T, Xia J, Han X, et al. Deformation control of TC4 titanium alloy in thin-walled hyperbolic structures during hot forming processes[J]. Materials,2024,17(24):6146.
[7] Liu M, Wang H, Yang D, et al. Verification and refinement of local difference in TC4 hollow blade pressing with low melt-ing point alloy mandrel[J]. Journal of Materials Engineering and Performance,2025,34(13):12310-12320.
[8]Qiao Z, Zhai R, Jin Z, et al. Optimization of the hot stretch-bending process for TC4 titanium L-section profile[J].Proceedings of the Institution of Mechanical Engineers,Part C:Journal of Mechanical Engineering Science,2024,238(11):5064-5076.
[9]赵虎.中厚板差厚轧制及变形渗透性模拟与研究[D].长春:东北大学,2015:67-69.
[10] Hu Q, Liu W, Song Y, et al. Influence of solid solution treatment on fatigue crack propagation behavior in the thickness direction of 2519A aluminum alloy thick plates[J]. Engineering Fracture Mechanics,2024,302:110069.
[11]张劲,郑昌军,陈明安.Al-Cu-Li合金厚板不均匀特征组织对蠕变时效成形的影响[J].中国有色金属学报,2022,32(7):1889-1899.
[12] Zhou L, Chen S, Chen K, et al. Effect of average pass reduction ratio on thickness-oriented microstructure and properties homogeneity of an Al-Zn-Mg-Cu aluminum alloy thickplate[J]. Applied Physics A,2019,125(6):1-9.
[13]蒋凡,赵世宗,徐斌,等.厚板铝合金变极性等离子弧焊电弧物理特性[J].焊接,2023(7):1-8.
[14]徐浩然.舰船高强钢厚板焊接固态相变影响研究[D].哈尔滨:哈尔滨工业大学,2023:59-63.
[15]周牧,王倩,王延绪,等.焊前预处理对钛合金厚板焊接残余应力的影响[J].金属学报,2024,60(8):1064-1078.
[16]吴星,张世文.铝制容器厚板的焊接工艺研究[J].热加工工艺,2025,54(2):147-150.
[17]Saha D, Pal S. Study of mechanical behaviour and microsegregation in interdendritic region of a single-pass plasma arc welding of thick IN625 plate[J]. Archives of Civil and Mechanical Engineering,2025,25(2):105.
[18] Liu Q, Zheng R, Li P, et al. Intelligent grinding system for medium/thick plate welding seams in construction machinery using 3D laser measurement and deep learning[J]. Actuators,2024,13(10):414.
[19] Feng J, Yong X, Zhang P, et al. Research on the dynamic process and defect formation in laser-arc hybrid welding of 12-mm thick AH36 steel[J]. The International Journal of Advanced Manufacturing Technology,2024,135(3):1253-1269.
[20]杨晓明.TC4钛合金冷模叠层热冲压工艺及回弹研究[D].北京:北京科技大学,2022:78-84.
[21]赵长明.宽厚板压弯回弹预测模型研究[D].秦皇岛:燕山大学,2016:55-57.
[22]赵鹏,吴为,付雪松,等.TC4钛合金L型材高温弯曲蠕变的数值模拟研究[J].稀有金属材料与工程,2022,51(1):211-216.
(注,原文标题:TC4厚板大型壳体构件精密热压成形工艺研究)
相关链接