氧化铟锡(ITO)薄膜因其优异的光学、电学及机械性能,被广泛应用于有机发光二极管面板、光伏电池及半导体集成电路等领域,已成为现代光电产业中不可或缺的功能材料之一[1-5]。目前,ITO薄膜主要是将ITO靶材通过磁控溅射技术制备而成[6]。我国是全球最大的ITO靶材原材料(铟)生产国,但ITO靶材制备产业链面临压坯成形形变突出、烧结体受热不均而开裂等关键问题,如何制备出高致密度、高均匀性的ITO靶材成为当前的主要研究热点之一[7]。
粉末冶金(PM)作为当前生产ITO靶材的主要方法,具有能耗低、材料利用率高、近净成形等优势,已被广泛应用于冶金、材料、机械加工等领域[8]。其中,烧结是PM工艺的核心步骤,适宜的烧结条件对最终成品的致密度及物理性能起着决定性的作用[9]。由于设备因素及自身材料属性的限制,工业使用的大长径比ITO旋转靶材主要采用常压烧结法制备[10]。目前国内外对于ITO靶材PM制备的研究大多以物理实验为主。朱归胜等人[11]探究了温度与粒径配比对烧结过程的影响,在1580℃的烧结温度下获得相对密度达99.3%的靶材。Liang等人[12]证明添加Bi2O3-Nb2O5烧结助剂可在较低温度下(1450℃)得到相对密度达99.6%的靶材。Zhai等人[13]通过控制升温速率与延长保温时间,在 1550 ∘C的烧结温度下制得相对密度达 99.31%的靶材。物理实验能够较好地描述不同工艺参数与烧结体宏观特性之间的关系,但实验成本高、周期长、难度大,且难以对粉末的应力/应变分布、烧结坯的相对密度变化等“黑箱过程”进行原位表征。而这些不足可以通过计算机数值模拟来有效克服。当前对 ITO靶材 PM制备的数值仿真研究并不多见,只有本课题组的 Liu等人 [14]和 Zhang等人 [15]采用离散元法(DEM),从颗粒尺度分别对 ITO粉体的 PM充型与成形过程进行了三维数值模拟,而对 ITO粉末压坯烧结过程的数值仿真研究尚未见相关报道。
本研究采用有限元法(FEM)对 ITO靶材 PM制备过程中的常压烧结过程进行宏观连续尺度模拟。系统研究烧结温度及升温速率对 ITO粉体致密化行为的影响规律,分析烧结过程中 ITO粉末的流动行为、烧结坯相对密度及应力/应变的变化及分布。优化 ITO靶材的烧结工艺参数,为实际 PM制备高致密、长节距的 ITO旋转靶材提供参考。
1、研究方法
1.1控制方程
模拟中使用目前被广泛用于描述多孔粉体材料流动行为的 Shima屈服准则 [16−17]:

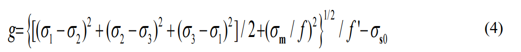
式中, F是与基体屈服能力相关的一个重要参数; σ 1 、σ 2 、σ 3 分别为三个主应力,其中 σ m = (σ 1 + σ 2 + σ 3 ) /3; f为等静压分量 σ m 对多孔体的影响程度,它与多孔体的相对密度有关。因此,式(1)可表示为:

式中, f ′ = σ s /σ s0 为施加在多孔介质上的屈服强度与基体屈服强度的比值,同样是相对密度的函数;当 σ s0 用考虑材料加工硬化的屈服强度 σ eq 代替时,则式(2)可适用于加工硬化的多孔体,表示为:

根据塑性力学理论,式(3)可改写为:

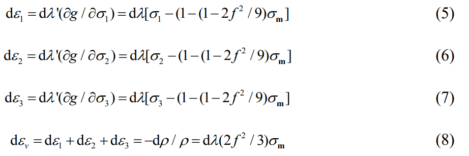
式中,g为塑性式,可通过主应力的偏导表示主应变增量( dε 1 、dε 2 、dε 3 ):

式中, ε 1 、ε 2 、ε 3 为三个方向上的主应变; ε v 为体积应变; ρ为相对密度; dλ为正比例常数。若 dε eq 为多孔材料的等效应变,则多孔材料单位体积的塑性功 dW为:

将方程(5)、(6)、(7)代入方程(9)中, d λ可表示为:

将方程(10)代入方程(9)中,结合方程(4),可得:

多孔粉体材料的表现形式受参数 f和 f'的影响,在 Shima本构方程中,对两者的表达式分别为 [18]:

式中,对于 ITO粉末, q 1 、q 2 、q 3 、q 4 分别为 0、 1、 1、 2.5; b 1 、b 2 、b 3 、b 4 分别为 5.9、-5.9、1、-0.514。
1.2模型构建
以实际生产中所使用的压坯尺寸为标准(图 1(a)),构建 ITO粉末常压烧结过程中宏观连续尺度的有限元模型,径向尺寸为 15mm,轴向尺寸为 270 mm [19]。考虑到圆柱体在 X、 Y、 Z方向上的对称性,在保证计算结果准确性的前提下,采用 1/8模型进行模拟 [20],从而节省计算成本,提高效率。图 1(b)给出了模拟中所使用的几何模型和网格划分。

1.3模拟条件
在 FEM模拟中,多孔陶瓷材料的泊松比和杨氏模量可以表示为相对密度的函数 [9]:

式中, v ps 为材料的泊松比, ρ为材料的相对密度, E为材料的杨氏模量, E 0 为全致密材料的杨氏模量。表 1列出了 ITO粉末常压烧结模拟所需要的其它物性参数。
表 1 ITO粉末的物性参数 [21]
Table 1 Physical properties of ITO powder[21]
| 物性参数 | 数值 |
| 密度 (kgm−3) | 7155 |
| 黏度 (m2s−1) | 1000 |
| 比热容 (JKg−1 ∘C −1) | 356 |
| 热膨胀系数 (10−6 ∘C −1) | 6.15 |
| 热导率 (Wm−1 ∘C −1) | 12 |
模拟中, ITO粉体定义为变形体,粉体之间的摩擦系数设定为 0.2 [22]。压坯相对密度为 0.58 [19],初始温度取室温 25 ∘C。对 1/8模型的轴对称边界节点施加位移约束,对ITO压坯的非轴对称面施加单元面对流以模拟烧结工况 [20]。图 2为实际生产中常压烧结过程的温度加载曲线。具体模拟条件见表 2。

表2工况加载设定与分析选项设定
Table 2 Load case configuration and analysis options configuration
| 工况加载设定 | 分析选项设定 |
| 迭代法:全牛顿-拉夫森迭代法 | 非线性方法:基于大应变的更新拉格朗日 算法 |
| 收敛判据:残余力或位移 | 接触判定:面段对面段法 |
2、模型验证
网格划分对数值模拟的效率和准确性至关重要,本研究首先进行网格无关性验证。图3为不同网格数量下,ITO烧结坯平均相对密度随时间的变化曲线。由图可见,当网格数量大于等于 40000时,三种网格的 ITO烧结坯相对密度变化基本一致。为确保计算成本和精度,本研究采用40000的网格数进行后续ITO压坯的烧结模拟。

在模型验证方面,将本研究的数值模拟实验与前人的物理实验中在不同烧结温度下获得的烧结坯平均相对密度[13,23]进行对比,模型验证实验中升温速率固定为9℃/min,保温时间恒为 10 h [13]。如图 4所示,可以看出,二者具有很好的一致性,误差均在 5%以内,表明本研究所构建的仿真模型是准确有效的。

3、结果与讨论
3.1 ITO粉体压坯烧结致密化分析
图5显示了ITO烧结坯平均相对密度及烧结坯径向收缩率随时间的演变。图5(a)中的结果表明,从25℃升温至1200℃的过程中,ITO烧结坯的平均相对密度提升约4%,致密化程度较小;在1200℃至1580℃的升温阶段,烧结坯的平均相对密度提升约35%,是ITO烧结坯致密化的主要阶段,与前人研究结果相似[11]。通过进一步分析烧结坯径向收缩率随时间的变化规律(图5(b))可以发现,由25℃升温至1200℃的过程中,ITO粉体开始黏结,粉体之间由于烧结颈的形成出现由点接触变成面接触的趋势,这一阶段烧结坯的尺寸收缩并不明显;在1200℃至1580℃的升温阶段,粉体粒子之间的烧结颈开始长大,ITO粉体之间的距离缩小,形成微小的孔隙网络[11,13]。随着烧结温度的逐渐升高,孔隙闭合直至消失,烧结坯的尺寸收缩率进一步提升,约为16%。

图6给出了不同时刻ITO烧结坯等效米塞斯应力分布。图6(a)、(b)的结果表明,此阶段h外侧应力高于内部,呈现由表及里的收缩趋势,但结合图5(b)可知,烧结坯的宏观收缩行为尚不明显。这是因为在较低温度下,热应力尚不足以显著降低ITO粉末的表面能,因而烧结坯无法显现出明显的致密化[8]。在1200℃至1580℃的升温阶段,ITO烧结坯轴向长度锐减,内部等效米塞斯应力骤增,轴向应力大幅增加并显著高于径向应力(图6(c)、(d)),烧结坯径向收缩率大幅提升(图5(b))。这是因为烧结驱动力在更高的温度下得到了加强,使先前由表面扩散为主导的低温烧结转变为由晶界扩散为主导的高温烧结[8],该转变显著降低了粉体的表面能,促使烧结坯在烧结应力驱动下发生显著收缩,实现致密化。

3.2烧结温度对ITO压坯烧结致密化的影响
烧结温度是调控ITO靶材性能的决定性因素,精准调控烧结的温度窗口,是实现高性能ITO靶材的核心工艺环节。图7给出了不同烧结温度下,ITO烧结坯平均相对密度及收缩率随时间的变化。从图7(a)中可以观察到ITO烧结坯的相对密度变化趋势与烧结温度加载工况呈现出一致的对应关系,即:在25℃升温至1200℃的过程中,ITO烧结坯的相对密度增加缓慢;在1200℃至1580℃的升温阶段,ITO烧结坯的相对密度迅速增加。在1450℃至1600℃的范围内,烧结温度越高,烧结坯最终相对密度越大,这与前人研究结果相似 [13]。并且在温度达到1550 ∘C之后,增加烧结温度对致密度的提升十分有限。改变烧结温度对烧结坯平均相对密度的变化趋势没有显著影响,但会影响其最终平均相对密度的大小。从图7(b)可以看出,在1450℃至1600℃的温度区间,烧结坯的收缩率与温度呈正相关。此外,烧结坯的轴向收缩率均大于径向收缩率,这是由于ITO烧结坯受到沿Z轴负方向的重力作用,该方向上的附加应力与烧结应力耦合,从而加剧了轴向收缩[24]。

图8显示了在不同烧结温度下,ITO烧结坯等效米塞斯应力及等效热应变随时间的演变。从图 8(a)可以看出,烧结坯的等效米塞斯应力变化和温度加载变化吻合,呈现稳定-增加-稳定的规律。烧结温度的改变对烧结坯等效米塞斯应力的变化趋势没有显著影响,但会影响烧结坯最终等效米塞斯应力的大小。在 1450℃至 1600℃的温度区间,烧结温度越高,烧结坯内等效米塞斯应力越大。值得注意的是,当烧结温度从1580℃提升至1600℃时,烧结坯内的等效米塞斯应力从84.51MPa骤增至148.90MPa,这是因为ITO烧结坯的相对密度变化与收缩应力的变化规律并不呈线性关系,当相对密度超过99%后,提升致密化所需克服的阻力显著增大。从图8(b)可以看出,在更高的烧结温度下,粉体间的烧结应力增大,从而使烧结坯发生更为显著的收缩变形。因此,结合ITO烧结坯致密度与烧结坯残余应力的影响,ITO烧结坯烧结过程中最佳烧结温度为1580℃。

3.3升温速率对ITO压坯烧结致密化的影响
在ITO靶材的烧结过程中,升温速率是影响最终产品性能的关键参数之一。为了保证升温速率的合理性,本研究将对55℃/h至95℃/h的升温速率进行研究,其中升温速率取值选自前人文献[25]。
图9给出了在不同升温速率下,ITO烧结坯平均相对密度及收缩率随时间的变化。从图9(a)中可以观察到升温速率的改变对烧结坯最终平均相对密度的大小并没有显著的影响,只是影响了平均相对密度的变化趋势,即:在55℃/h至95℃/h的升温速率区间,升温速率越高,烧结坯致密化所用的时间越短。结合图9(b)可知,过高的升温速率会导致烧结坯径向与轴向收缩率的差异增大,从而使烧结坯内部均匀性变差,对烧结坯的质量产生负面影响。因此,在确定升温速率时,需统筹考虑致密度与烧结坯均匀性之间的平衡。

图10给出了在不同升温速率下,ITO烧结坯等效米塞斯应力及等效热应变随时间的变化。如图10(a)所示,ITO烧结坯等效米塞斯应力变化与图8(a)呈现相同的趋势。升温速率的改变对烧结坯等效米塞斯应力的变化趋势影响不大,但会影响烧结坯最终等效米塞斯应力大小,即:在55℃/h至95℃/h的升温速率区间,升温速率越低,烧结坯的最终等效米塞斯应力越大。结合图10(b)可知,在更高的升温速率下,烧结坯内部的等效热应变变化速率增大,导致粉体间的作用加强,从而最先达到高致密度。因此,结合ITO烧结坯致密度、均匀性与内部残余应力的影响,ITO压坯烧结过程中最佳升温速率为75℃/h。

4、结论
(1)提升烧结温度可增强烧结驱动力,使ITO烧结坯的烧结收缩更为显著,提高了ITO烧结坯最终的平均相对密度,但也使其内部的残余应力呈指数级升高。
(2)增大升温速率,ITO烧结坯的烧结时间减少,有效提升了烧结效率,但过高的升温速率会使ITO烧结坯内部的均匀性差异增加,影响靶材质量。
(3)综合考虑烧结温度和升温速率对ITO烧结坯致密度、均匀性及残余应力的影响,推荐在ITO压坯常压烧结过程中采用1580℃的烧结温度和75℃/h的升温速率。
参考文献
[1] Calnan S, Tiwari A N. High mobility transparent conducting oxides for thin film solar cells[J].Thin Solid Films,2010,518(7):1839-1849.
[2] Granqvist C G. Transparent conductors as solar energy materials: a panoramic review[J].Solar Energy Materials and Solar Cells, 2007, 91(17): 1529-1598.
[3] Miyata T, Hikosaka T, Minami T. High sensitivity chlorine gas sensors using multicomponent transparent conducting oxide thin films[J]. Sensors and Actuators B:Chemical,2000,69(1-2):1621.
[4] Qin L H, Yan Y Q, Yu G,et al. Research progress of transparent electrode materials with sandwich structure[J]. Materials, 2021, 14(15): 4097.
[5] Yang S, Sun B, Liu Y,et al. Effect of ITO target crystallinity on the properties of sputtering deposited ITO films[J]. Ceramics International, 2020, 46(5): 6342-6350.
[6] Xu J, Yang Z, Zhang X, et al. Grain size control in ITO targets and its effect on electrical and optical properties of deposited ITO films[J]. Journal of Materials Science: Materials in Electronics,2014,25(2):710-716.
[7]赵汉斌.烧不出大号靶材,平板显示制造仰人鼻息[N].科技日报,2018-05-18.
(Zhao Hanbin. No large target can be burned, and the flat panel display manufactures nasal polyps[N]. Science and Technology Daily, 2018-05-18.)
[8]李萌.Ti6A14V粉末冶金制备过程的数值模拟研究[D].沈阳:东北大学,2022.
(Li Meng. Numerical simulation investigation on the preparation process of Ti6Al4V using powder metallurgy[D]. Shengyang: Northeastern University,2022.)
[9]阮建明,黄培云.粉末冶金原理[M].北京:机械工业出版社,2015.
(Ruan Jianming, Huang Peiyun. Principle of powder metallurgy[M]. Beijing: China Machine Press,2015.)
[10]姜峰,谭泽旦,黄誓成,等.大尺寸氧化铟锡(ITO)靶材制备研究进展[J].广西科学,2022,29(6):1169-1177+1187.
(Jiang Feng, Tan Zedan, Huang Shicheng, et al. Research progress on preparation of large-size Indium Tin Oxide(ITO) targets[J]. Guangxi Sciences, 2022, 29(6): 1169-1177+1187.)
[11]朱归胜,徐华蕊.高密度氧化铟锡(ITO)靶材的制备研究[J].云南大学学报,2007,(6):601-606.
(Zhu Guisheng, Xu Huarui. Study on the preparation of ITO ceramic target with high density[J]. Journal of Yunnan University,2007,(6):601-606.)
[12] Liang F, Liu J X. Sintering, microstructure and electricity properties of ITO targets with Bi2O3-Nb2O5 addition[J]. Ceramics International, 2017, 43(8): 5856-5861.
[13]Zhai X Y, Chen Y J, Ma Y Q, et al. A new strategy of binary-size particles model for fabricating fine grain, high density and low resistivity ITO target[J]. Ceramics International,2020,46(9):13660-13668.
[14] Liu J F, Li M, Jiang C N, et al. Numerical investigation on the densification of granulated porous indium tin oxide powders before compaction[J]. Powder Technology, 2024, 438:119676.
[15]Zhang J Y, Liu J F, Li M, et al. Numerical investigation on the breakage induced densification behavior of granulated porous ITO powder during compaction[J], Materials Today Communications,2025,49:114019.
[16] Oyane M, Shima S, Kono Y. Theory of plasticity for porous metals[J]. Bull JSME, 1973,16(99):1254-1261.
[17]Shima S, Oyane M. Plasticity theory for porous metals[J]. International Journal of Mechanical Sciences, 1976, 18(6):285-291.
[18]殷亚军,张朋,周建新,等.Ti6Al4V合金粉末热等静压Shima屈服准则修正[J].华中科技大学学报,2018,46(6):14-19.
(Yin Yajun, Zhang Peng, Zhou Jianxin, et al. Correction on Shima yield criterion for Ti6Al4V powder HIP process[J]. Journal of Huazhong University of Science and Technology,2018,46(6):14-19.)
[19]刘俊飞.ITO旋转靶材粉末冶金制备过程的数值模拟研究[D].沈阳:东北大学,2023.(Liu Junfei. Numerical simulation on the preparation process of ITO rotary target by powder metallurgy[D]. Shenyang: Northeastern University,2023.)
[20]陈火红,Msc.Marc/Mentat2003基础与应用实例[M].北京:科学出版社,2004.
(Chen Huohong.Msc.Marc/Mentat 2003 basic and application examples[M]. Beijing:Science Press,2004.)
[21]Jacobs A G, Schubert M, Tadjer M J, et al. A review of band structure and material properties of transparent conducting and semiconducting oxides: Ga2O3, Al2O3, In2O3,ZnO,SnO2,CdO,NiO,CuO,and Sc2O3[J]. Applied Physics Reviews,2022,9(1): 011315.
[22] Cai C, Song B, Xue P J, et al. Effect of hot isostatic pressing procedure on performance of Ti6Al4V: surface qualities, microstructure and mechanical properties[J]. Journal of Alloys and Compounds, 2016, 686: 55-63.
[23]张明杰,陈敬超,彭平,等.烧结工艺对ITO靶材致密度与电阻率的影响[J].粉末冶金材料科学与工程,2015,20(4):623-630.
(Zhang Mingjie, Chen Jingchao, Peng Ping, et al. Effect of sintering process on the density and resistivity of ITO target materials[J]. Materials Science and Engineering of Powder Metallurgy,2015,20(4):623-630.)
[24]王江.偏钛酸镁陶瓷烧结致密化的有限元模拟研究[D].武汉:武汉理工大学,2021.(Wang Jiang. Finite element simulation and experiments of MgTiO3 ceramics[D]. Wuhan:Wuhan University of Technology,2021.)
[25]彭浩源.常压烧结制备ITO靶材工艺优化与性能研究[D].芜湖:安徽工程大学,2023.
(Peng Haoyuan. Study on Process Optimization and Performance of ITO Target Prepared by Atmospheric Pressure Sintering[D]. Wuhu: Anhui Polytechnic University, 2023.)
(注,原文标题:粉末冶金制备ITO靶材烧结过程的数值模拟_唐子渊)
无相关信息