作为一种α+β相耐热钛合金,钛合金TC11具有高强度、超强耐腐蚀性、优异的抗蠕变性和较好的热稳定性,被广泛应用于航空发动机涡轮盘、叶片等重要构件。在钛合金切削过程中切削温度较高、切削力较大,刀具容易磨损,加工效率整体较低,加工表面容易产生表面微裂纹、加工硬化等现象。国内外学者对钛合金加工进行了大量的研究:岳彩旭、张统等利用ABAQUS软件建立了平底铣刀铣削钛合金TC4的C形薄壁零件仿真模型,结果表明有限元模型可以预测铣削力;刘昂驰等对钛合金TC4进行了顺铣和逆铣加工研究,结果表明逆铣铣削力大于顺铣铣削力;从政、杨振朝等分别针对钛合金TC11进行车削仿真和高速铣削试验,得出工艺参数对切削力的影响规律。
上述研究主要是针对用平底铣刀铣削钛合金的情况,但涡轮盘、叶片等是由复杂自由曲面构成的零件,多采用球头刀配合小切削深度来加工侧壁,加工效率低。相比于球头刀,锥度球头刀的曲面部分由一个大曲率半径圆弧构成7,能够增大刀具整体的刚性,可承受较大的切削深度,被广泛应用于航空薄壁零件的高效加工。由于锥度球头刀可以承受较大的切削深度,因此编程时可以缩短
刀具路径,提高生产效率。
随着五轴加工技术和CAM的发展,锥度球头刀被广泛应用于复杂曲面侧壁的高精度和高效率加工。本文的研究背景为航空高端制造“专精特新”产业学院中西安亚太菁英智能装备有限公司生产项目。为解决薄壁零件加工变形问题,有必要对锥度球头刀铣削钛合金TC11的切削力进行研究,为实现薄壁零件高质、高效铣削加工提供理论支撑。
1、试验方案
切削试验材料为钛合金TC11,试验件尺寸为100mmx10mmx50mm,试验件采用平口钳夹持的方法固定在机床工作台上,试验件长度方向沿X轴方向,如图1所示。刀具采用整体硬质合金6 mm锥度球头刀,刀齿个数为4。采用刀具侧刃进行铣削加工,切削宽度为0.2mm。

切削力是表征切削过程稳定性的重要物理量之一,它的大小会影响表面完整性、薄壁零件变形程度和刀具耐用度。为了研究切削速度[v。]、切削深度[a]和每齿进给量[f]3个工艺参数对主切削力[F1]的影响,采用田口法进行三因素三水平的正交试验分析,各参数所对应水平见表1。
表1试验因素及水平
| 序号 | 参数 | 水平 1 | 水平2 | 水平 3 |
| A | 切削速度 v c /[m/min] | 30 | 40 | 50 |
| B | 切削深度 a p /mm | 7 | 8 | 9 |
| C | 每齿进给量 f z /[mm/z] | 0.02 | 0.04 | 0.06 |
2、切削仿真分析方法
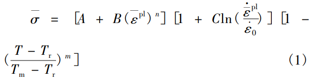
在建立的切削仿真三维模型中,需要对材料的本构模型、断裂准则、比热、密度、泊松比等进行参数设定。切削仿真过程涉及材料的弹性、塑性硬化和断裂过程间。塑性屈服与应变硬化采用 John-son-Cook塑性模型,因为其拥有能够很好地描述金属在大应变、高应变率和高温下的本构方程,见公式[1]。

式中: σ为材料的流动应力, MPa; A为屈服应力强度, MPa; B为应力强化常数; ε pl为等效塑性应变; n为应变强化指数; C为应变率强化参数; ε ˙ pl为等效塑性应变率; ε ˙ 0 为参考应变率,取 1.0 s −1; T为样品的环境温度,℃;T为室温,℃;T为材料的熔点,℃;m为温度应变率灵敏度。表2为钛合金TC11材料 Johnson-Cook塑性参数。
表2 TC11材料 Johnson-Cook塑性参数
| A/MPa | B/MPa | C | m | n | Tr/℃ | Tm/℃ |
| 1309 | 258 | 0.44 | 0.99 | 0.44 | 20 | 1660 |
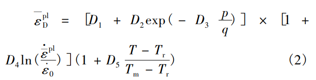
材料的失效准则采用 Johnson-Cook损伤模型,其中失效应变 ε D pl 由公式[2]计算,TC11的Johnson-Cook失效参数见表3。

式中: D 1 ∼ D 5 为失效参数, p为静水应力, q为米塞斯应力。
表 3 TC11的 Johnson- Cook失效参数
| D 1 | D 2 | D 3 | D 4 | D 5 |
| -0.09 | 0.27 | 0.48 | 0.01 | 3.87 |
结合试验工艺参数完成刀具和工件的装配。分别采用 C3D10和 C3D8R单元对刀具和工件进行网格划分,刀具网格尺寸应大于工件网格尺寸。将刀具设置为刚体和主动面,工件设置为从动面,刀具和工件之间的相互作用模式为通用接触,包括面-面接触和工件的自接触。最后对工件施加固定约束,对刀具施加移动速度和旋转速度,完成铣削加工模拟仿真。
3、试验结果分析
3.1影响规律分析
切削参数为 vc=30m/min、fz=0.06mm/z、 ap=9mm时,铣削加工应力云图如图 2所示,可以看出, Mises应力最大值出现在刀具和工件的接触点。这是由于在该变形区切削层受到刀具的剪切与挤压作用,接触面材料的应力值达到材料的断裂极限,开始出现切屑分离 [13]。仿真产生的切屑形状为带状结构,并且出现了一定的卷曲,切屑贴近刀具的螺旋槽发生卷曲。切削仿真所产生的切屑形态与生产加工钛合金产生的切屑形态[如图 3所示)近似。

结合图1可知,X轴方向对应于刀具的进给方向,Y轴方向表示刀具的径向方向,Z轴方向指的是铣削刀具的轴向方向。刀具径向切削力最大,是

引起薄壁工件变形的重要原因,因此本文将重点研究刀具的径向切削力。切削参数为vc=30m/min、fz=0.06mm/z、 ap=9mm时,切削力随时间的变化如图4所示。随着时间的增加,切削力呈周期性变化。在一个切削周期内,随着刀齿的切入、切出,切削力先增大后减小,切削力最大值时刻切削面积最大。

依次按照三因素三水平正交试验表的顺序完成切削仿真,获得的切削力结果见表 4。
表4正交试验设计及结果
| 序号 | vc/[m/min] | ap /mm | fz/[mm/z] | 切削力F/N |
| 1 | 30 | 7 | 0.02 | 330.04 |
| 2 | 30 | 8 | 0.04 | 469.11 |
| 3 | 30 | 9 | 0.06 | 702.08 |
| 4 | 40 | 7 | 0.04 | 450.21 |
| 5 | 40 | 8 | 0.06 | 588.18 |
| 6 | 40 | 9 | 0.02 | 432.32 |
| 7 | 50 | 7 | 0.06 | 368.44 |
| 8 | 50 |
| 0.02 | 330.16 |
| 9 | 50 | 9 | 0.04 | 596.63 |
为了获得工艺参数对切削力的影响规律,采用田口法进行分析。根据表 4中的数据结果,分别计算出各因素在每个水平条件下的切削力平均值和极差,最终得到均值响应表[表5]。极差的大小反映了每个试验因素对切削力结果影响的强弱,对切削力影响最大的工艺因子是切削深度,其次是每齿进给量,切削速度最小。
表5均值响应表
| vc/[m/min] | ap/mm | fz/[mm/z] |
| 1 | 500.4 | 382.9 | 364.2 |
| 水平 2 | 490.2 | 462.5 | 505.3 |
| 3 | 431.7 | 577.0 | 552.9 |
| 极差 | 68.7 | 194.1 | 188.7 |
| 排序 | 3 | 1 | 2 |
3.2建立切削力预测模型
采用多元线性回归法对表 4所示的测试数据进行拟合,切削速度 [v c ]、切削深度 [a p ]和每齿进给量 [f z ]作为自变量,切削力 [F 1 ]作为因变量,建立锥度球头刀铣削钛合金TC11的切削力预测模型,如式[3]所示。

对预测模型进行方差分析,是验证其准确性和可用性的方法之一。式(4)所示预测模型的方差检验见表 6。由表可知,切削力预测模型中回归项的 P小于 0.05,即预测模型显著,可以实现对切削力的准确预测。
表6切削力预测模型的方差检验
| 来源 | 自由度 | 平方和 | 均方 | F | P |
| 模型 | 3 | 0.096 6 | 0.032 2 | 12.43 | 0.009 |
| 误差 | 5 | 0.0129 | 0.0026 |
|
|
| 合计 | 8 | 0.109 |
|
|
|
模型预测结果和切削力试验结果的对比如图5所示。可以看出,预测模型对 9组试验结果变化趋势的预测是准确的,其中第 7组参数组合的切削力误差最大为 15.36%;第 1组参数组合的切削力误差最小仅为2.55%;9组试验的平均切削力误差为7.45%。

图6[a]为当a_{p}=8mm时,切削速度和进给量对切削力的交互影响规律。可以观察到在30~50 m/min的切削速度范围内,切削力表现出递减趋势。这一现象可以解释为增加切削速度导致被加工工件材料的塑性变形减小,同时引发了剪切角增大,从而导致切削力降低。提升切削速度还会引发更多切削热量的产生,进一步强化材料的热软化效应。图6[b]为当v。=40m/min时,切削深度和进给量对切削力的交互影响规律。随着切削深度和进给量的增大,切削力也随之增大。产生这种现象的主要原因是,随着切削深度的增大,锥度球刀与工件接触的圆弧长度增加,使得切削面积增大,导致变形力增大,摩擦力也增大。随着进给量的增大,单位时间内参与切削的材料体积增大,刀具与材料和切屑之间的摩擦增加,切削力不断增大。

4、结束语
本文给出的分析铣削力变化规律的方法和预测模型建模方法通用性较强,为锥度球头刀切削金属材料的切削力预测提供了一种思路。但是,实际
铣削加工过程中需要考虑的因素很多,本文仿真所用为实际工件的简化模型,还需和企业联合开展相关试验,以进一步优化模型。
参考文献
[1] BANERJEE D, WILLIAMS J C. Perspectives on titanium science and technology[J]. Acta Materialia,2013,61[3]:844-879.
[2]岳彩旭,胡德生,刘献礼,等.基于有限元仿真的钛合金薄壁件铣削参数优化.工具技术,2021,55[11]:53-60.
[3]张统.钛合金薄壁件铣削加工变形预测与参数优化研究[D].哈尔滨:哈尔滨理工大学,2020.
[4]刘昂驰,宁立伟,梁桂强,等.钛合金顺铣和逆铣的有限元仿真对比分析.工具技术,2022,56[1]:32-37.
[5]从政,曹岩,贺志昊,等.TC11钛合金力热耦合仿真分析及双目标参数优化[J].制造技术与机床,2022[1]:119-123.
[6]杨振朝,林允博,刘三娃,等.基于 Box-Behnken设计的高速铣削TC11钛合金切削力预测模型研究[J].航空精密制造技术,2018,54[4]:14-18.
[7] URBIKAIN G,LACALLE L DE, NORBERTO L. Bridging the gap between student instruction and advanced research: educational software tool for manufacturing learning[J]. Computer Applica-tions in Engineering Education,2021,29[1]:274-286.
[8] PELAYO G U. Modelling of static and dynamic milling forces in inclined operations with circle-segment end Mills[J].Precision Engineering,2019,56:123-135.
[9]王威振,姜增辉,陈兴宽,等.切削参数对高速铣削Stellite6合金切削力的影响[J].兵器材料科学与工程,2023,46[3]:129-133.
[10] AYDIN M. Numerical study of chip formation and cutting force in high-speed machining of Ti-6Al-4V bases on finite element modeling with ductile fracture criterion[J]. International Journal of Material Forming,2021,14[5]:1005-1018.
[11]从政.TC11钛合金航空盘类零件车削工艺优化研究[D].西安:西安工业大学,2022.
[12]李伟,周兰,王林军,等.基于材料损伤演化的钛合金螺旋铣孔切削力仿真模型.兰州理工大学学报,2023,49[2]:56-64.
[13]王明海,李世永,王京刚,等.航空钛合金Ti6Al4V的三维铣削加工有限元仿真[J].机械科学与技术,2014,33[7]:1036-1039.
(注,原文标题:锥度球头刀铣削钛合金TC11切削力研究)
无相关信息