随着现代航空技术的发展,航空产品对结构件的使用性能提出了越来越高的要求。TC4钛合金作为现役航空产品上使用最广泛的钛合金材料之一,多用于制造航空产品上大尺寸的承力部件,这类零件在服役过程中受震动载荷和外力的影响,发生变形和疲劳失效的风险较高,会大大降低服役寿命。为了提高零件在复杂环境下的使用寿命,需要对零件进行表面改性处理。激光冲击强化[Laser shock peening,LSP]技术是一种新型的材料表面改性技术,它是利用强激光束产生等离子冲击波,将冲击波作用在零件表面,使零件表层材料产生微观组织的变化并形成残余压应力,从而提高材料抗疲劳、抗磨损和抗腐蚀等性能。本试验以TC4钛合金为研究对象,使用X射线衍射仪、显微硬度计分析激光冲击强化工艺对TC4钛合金残余应力及显微硬度的分布规律,采用激光共聚焦显微镜来获取激光冲击强化后样品表面的三维形貌信息,获取高分辨率的表面形貌数据,定量评估激光冲击强化对表面形貌的影响。
1、试验材料与方法
试验材料为退火态TC4钛合金板材,试样制备前先对其进行650℃× 240min[炉冷]的真空去应力退火,再进行无应力抛光处理,待激光冲击强化试样尺寸为20mmx20mmx20mm。激光冲击强化试验采用Nd:YAG激光器,吸收保护层和约束层分别采用0.1mm厚铝箔和约1mm厚的去离子水层,工艺参数见表1,强化后使用X射线衍射仪对试样进行残余应力测试,采用显微硬度计进行硬度检测,采用激光共聚焦显微镜获取激光冲击强化后试样表面的三维形貌信息。
表1 激光冲击强化工艺参数
Table 1 Process parameters of the LSP
| 工艺 | 方形光斑/ [mm × mm] | 脉冲能量/J | 脉脉冲宽度/ ns | 光光斑搭接率/% | 强化次数 |
| 1 | 5×5 | 20 | 15 | 20 | 1 |
| 2 | 5×5 | 30 | 15 | 20 | 1 |
| 3 | 5×5 | 30 | 15 | 20 | 2 |
| 4 | 5×5 | 30 | 15 | 20 | 3 |
2、试验结果与分析
2.1残余应力分布
图1为4种激光冲击强化工艺处理后,试样表面残余应力随深度变化情况。残余应力深度测试过程采用腐蚀剥离法,以不引入加工应力的前提下逐渐增加测试位置与初始表面之间的距离。由图1可以看出,激光冲击强化TC4钛合金表面残余应力为压应力,主应力[σ主]随着测试深度的增加而逐渐减小,其中工艺4处理试样的应力水平最高,工艺1处理试样的应力水平最低,工艺3处理试样与工艺4处理试样的应力水平相当,而不同测量角度[]下的应力值并未随深度变化呈现明显规律,这说明主应力测试方法较通常进行的单次测量能够更加准确地体现出测量位置的残余应力水平。

通过对比1号和2号工艺的σ主 数据可以发现,增加激光能量会增加激光功率密度,从而增加冲击波强度,获得更高表面残余压应力和应力层深度。通过对比2~4号工艺的σ主 数据可以发现,多次冲击可以改善部件表面残余压应力分布,增大表面残余压应力和应力层深度。但随着冲击次数增多,材料硬化,增大了动态屈服强度,从而使材料的塑性变形更加困难,应力层深度不会随冲击次数增加而一直增大。
上述残余应力测试结果表明,激光冲击强化能够在TC4钛合金表面 1~2 mm深度范围内引入显著的残余压应力。这些残余压应力在表面层形成一种压缩状态,残余压应力不仅可以减小金属材料表面的裂纹扩展倾向,提高材料的抗疲劳性能,还可以抵消外界应力对金属材料的影响,减少应力腐蚀和应力腐蚀开裂的倾向。
2.2组织和硬度
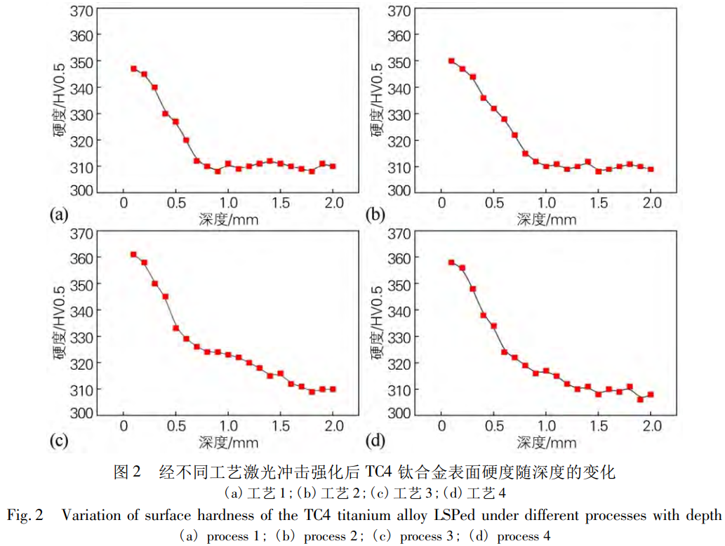
硬度可反映材料的综合性能,表示金属材料在一个小的体积范围内抵抗弹性变形、塑性变形的能力。图2为4种工艺激光冲击强化试样的表面显微硬度随深度变化的情况,可以看出,显微硬度随深度的增加而不断减小,并逐渐稳定于基体硬度值310 HV0.5。根据硬度变化曲线可以大致判断出不同工艺处理试样的激光冲击强化深度,1~4号工艺处理试样的强化深度分别约为0.8、1.0、1.8和1.5mm。

从图2可以明显看出, 4个试样的显微硬度从低到高排序为 1、2、4、3号工艺,其规律与图 1所体现的残余应力排序规律一致。这是因为残余应力和显微硬度均受塑性变形后的位错增殖的影响。硬度和残余应力之间存在一定的相关性,这是由激光冲击强化过程的物理效应所决定的。高硬度表面能够抵抗外界的划伤、磨损和变形,从而减少局部应力集中的可能性。这使得材料在受到疲劳加载时能够更好地抵抗表面损伤和裂纹的扩展。激光冲击强化过程引入的残余应力可以改善金属材料的应力分布,它可以抵消外部加载时产生的应力集中,并将应力分散到材料的整个截面,这有助于减少裂纹的起始和扩展,提高材料的抗疲劳性能。
2.3表面形貌
图3为激光共聚焦显微镜成像图,可以直观地看出3号工艺处理试样的表面起伏情况最严重,3号工艺处理试样在搭接位置有明显的隆起现象,2号工艺处理试样表面平整度较好,1号工艺处理试样表面最平坦。这说明在激光冲击强化工艺中,激光功率对冲击坑深度有直接影响,较高的激光功率通常会导致更深的冲击坑,而较低的激光功率则会产生较浅的冲击坑。高功率激光的能量密度足够大,可以引起金属材料发生更大程度的塑性变形,从而形成较大的凹坑或压痕。强化次数是激光冲击强化过程中的另一个重要参数,它对冲击坑深度有一定的影响。通常情况下,增加强化次数可以导致冲击坑的深度增加。随着连续进行多次冲击强化,每次冲击都会在金属表面形成一定的冲击坑。这些冲击坑的叠加效应会导致整体的冲击坑深度增加。每次冲击坑的形成都会改变金属表面的形貌和结构,进而影响下一次冲击的结果。

激光功率和强化次数导致较高残余应力和硬度的同时也增加了表面粗糙度。因此,在实际应用中,需要综合考虑多个因素,并进行试验研究以确定最佳的强化次数和其他工艺参数组合,以实现所需的冲击坑深度和表面改性效果。
3、结论
1)激光冲击强化TC4钛合金表面残余应力测试发现,主应力测试方法较通常进行的单次测量能够更加准确地体现出测量位置的残余应力水平。增加激光能量会增加激光功率密度,从而增加冲击波强度,获得更高的表面残余压应力峰值,且主应力峰值随着深度的增加而逐渐减小。多次冲击可以提高TC4钛合金表面残余压应力峰值和深度,但应力层深度不会随冲击次数增加而一直增大。
2)激光冲击强化TC4钛合金表面硬度和残余应力变化趋势相同,从试样硬度变化曲线可以大致判断出不同试样的激光冲击强化深度。脉冲能量20J、冲击1次试样的强化深度约为0.8mm,脉冲能量30J、冲击1~3次试样的强化深度分别约为1.0、1.8和1.5mm。
3)提高激光功率和强化次数,在获得较高的表面残余压应力和硬度的同时,也会增加表面粗糙度。在实际应用中,需要综合考虑多个因素,实现所需的表面质量和表面改性效果。
参考文献:
[1]国凯,武冲,孙杰.航空整体结构件数控加工变形预测及控制技术研究进展[J].航空制造技术,2022,65[21]:112-127.
Guo Kai, Wu Chong, Sun Jie. Research progress on NC machining distortion prediction and control technology of aeronautical monolithic components[J]. Aeronautical Manufacturing Technology, 2022, 65[21]:112-127.
[2]苏振龙.大型航空结构件比较式的优化设计[].军民两用技术与产品,2015[12]:15-16.
[3]谭聪,肖寒,张宏宇,等.固溶时效对海绵钛/电解钛熔炼TC4钛合金热轧板材组织与性能的影响[J].稀有金属材料与工程,2020,49[12]:4290-4296.
Tan Cong, Xiao Han, Zhang Hongyu, et al. Effect of solution and aging treatment on microstructure and properties of TC4 titanium alloy hot-rolled sheet by sponge titanium/electrolytic titanium melting[J].Rare Metal Materials and Engineering, 2020, 49[12]:4290-4296.
[4]邹伟,彭金波,韩中宝.TC2钛合金的高温力学性能及预测模型[J].金属热处理,2026,51[1]:56-64.
Zou Wei, Peng Jinbo, Han Zhongbao. High-temperature mechanical properties and predictive models of TC2 titanium alloy[J]. Heat Treatment of Metals, 2026, 51[1]: 56-64.
[5]孙汝剑,李刘合,朱颖,等.激光冲击强化对TC17钛合金微观组织及拉伸性能的影响[J].稀有金属材料与工程,2019,48[2]:491-499.
Sun Rujian, Li Liuhe, Zhu Ying, et al. Effect of laser shock peening on microstructure and tensile properties of TC17 titanium alloy[J].Rare Metal Materials and Engineering, 2019, 48[2]: 491-499.
[6]昝耀旭,贾蔚菊,赵恒章,等.激光冲击对Ti834合金残余应力及显微组织的影响[J].稀有金属材料与工程,2019,48[11]:3535-3540.
Zan Yaoxu, Jia Weiju, Zhao Hengzhang, et al. Effect of laser shock processing on residual stress and microstructure of Ti834 titanium alloy[J]. Rare Metal Materials and Engineering, 2019, 48[11]:3535-3540.
[7]乔红超,胡宪亮,赵吉宾,等.激光冲击强化的影响参数与发展应用[].表面技术,2019,48[12]:1-9,53.
Qiao Hongchao, Hu Xianliang, Zhao Jibin, et al. Influence parameters and development application of laser shock processing[J]. Surface Technology,2019,48[12]:1-9,53.
[8]鲁金忠.激光冲击强化铝合金力学性能及微观塑性变形机理研究[D].镇江:江苏大学,2010.
Lu Jinzhong. Investigation of laser shock processing on the mechanical properties and micro-plastic deformation mechanism of LY2 aluminum alloy[D]. Zhenjiang: Jiangsu University,2010.
[9]聂祥樊,何卫锋,王学德,等.激光冲击强化对TC17钛合金微观组织和力学性能的影响[].稀有金属材料与工程,2014,43[7]:1691-1696.
Nie Xiangfan, He Weifeng, Wang Xuede, et al. Effects of laser shock peening on microstructure and mechanical properties of TC17 titanium alloy[J]. Rare Metal Materials and Engineering, 2014, 43[7]:1691-1696.
[10]聂祥樊,龙霓东,刘海雷,等.激光冲击强化对TC17表面硬度的影响[J].机械设计与制造,2012[1]:198-200.
Nie Xiangfan, Long Nidong, Liu Hailei, et al. Effect of laser shock peening on surface hardness of TC17 titanium alloy[J]. Machinery Design& Manufacture, 2012[1]: 198-200.
[11]乔红超,高宇,赵吉宾,等.激光冲击强化技术的研究进展印.中国有色金属学报,2015,25[7]:1744-1755.
Qiao Hongchao, Gao Yu, Zhao Jibin, et al. Research process of laser peening technology[J]. The Chinese Journal of Nonferrous Metals, 2015, 25[7]: 1744-1755.
(注,原文标题:激光冲击强化对TC4钛合金残余应力及表面质量的影响_康冲)
相关链接